
不读可以给我吗?多名同学考上公办不读,直接放弃!
发布时间:2023-05-30 08:25:30 来源:广东中职生 阅读:
每年都有不少学生是因为各种原因录取了也不去读的。今年估计也会有,有些学校会公布不去读的原因,也有些学校不公布!
考到公办院校也不读?这所公办大学发布了2022年放弃入学名单进行公示,一共有803名同学放弃入学。
了解到,广东茂名幼儿师范专科学校公布了2022年拟注销入学资格的新生名单。今年一共有803名新生放弃入学资格,放弃入学人数真的超级多。
茂幼!注销入学资格新生名单公示!
从拟注销入学资格的新生名单来看,有超级热门的专业:小学教育(师范)、小学数学教育(师范)等。大部分放弃入学资格的学生是选择“复读”,还有个别学生选择“打工”↓
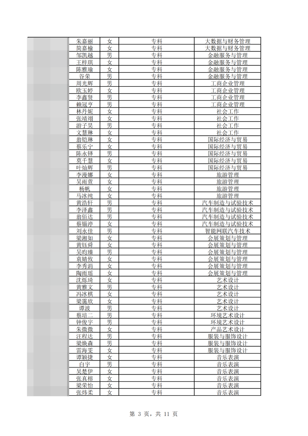
茂幼!部分放弃入学名单!
广州科技贸易职业学院公布531名新生未到校报到注册,按照文件规定,该批考生将视为自行放弃入学资格。
通知如下
各相关新生:
根据广东省招生委员会《关于做好2022年广东省普通高等学校录取新生报到工作的通知》(粤招办普〔2022〕45号)精神,我校规范做好2022级新生入学资格复查工作。截止11月14日,我校2022年广东省录取的531名新生未到校报到注册,按照文件规定,该批考生将视为自行放弃入学资格,为保证考生权益,现将2022年自行放弃入学资格考生名单(见附件)予以公示。
公示时间:11月14日—11月16日
联系部门:广州科技贸易职业学院招生就业处
联系电话:020-84567663
邮箱:gzkmuzsb@126.com
我校将在本次公示期(2022年11月14日-16日)结束之后,进行自行放弃入学资格考生的注销工作。所有按规定被注销的考生将不能参加当年的教育部学籍电子注册。
招生就业处
2022年11月14日
附件:2022年自行放弃入学资格考生名单
(识别二维码查看)
附件:
比如2021年
有些同学已经被高职院校录取,但是没有在规定的时间报道入学,根据规定逾期未报到学生学校会按自动放弃入学资格处理,注销入学资格。
(放弃入学)
广东财贸职业学院!注销377名同学!
广东机电!注销877名同学!
茂名职院!注销745名同学!
广东岭南!注销1218名同学!
广州松田职业学院!注销553名同学!
................
广东财贸!放弃入学资格公告!
广东机电-注销877名同学
茂名职院-注销745名同学
茂名职业技术学院通过官网发布了2021年注销名单公示,今年一共注销745名同学的入学资格。
茂名职院!公告!
来源:学校官微