当前位置:
院校动态 > 深职大高达600分!本科投档线公布!中职生能考其中9所!


重磅!
2024广东高考
本科批各院校投档线已公布!
深圳职业技术大学投档分高达600分!

本科历史类

广东省2024年本科历史类投档情况
▼▼▼
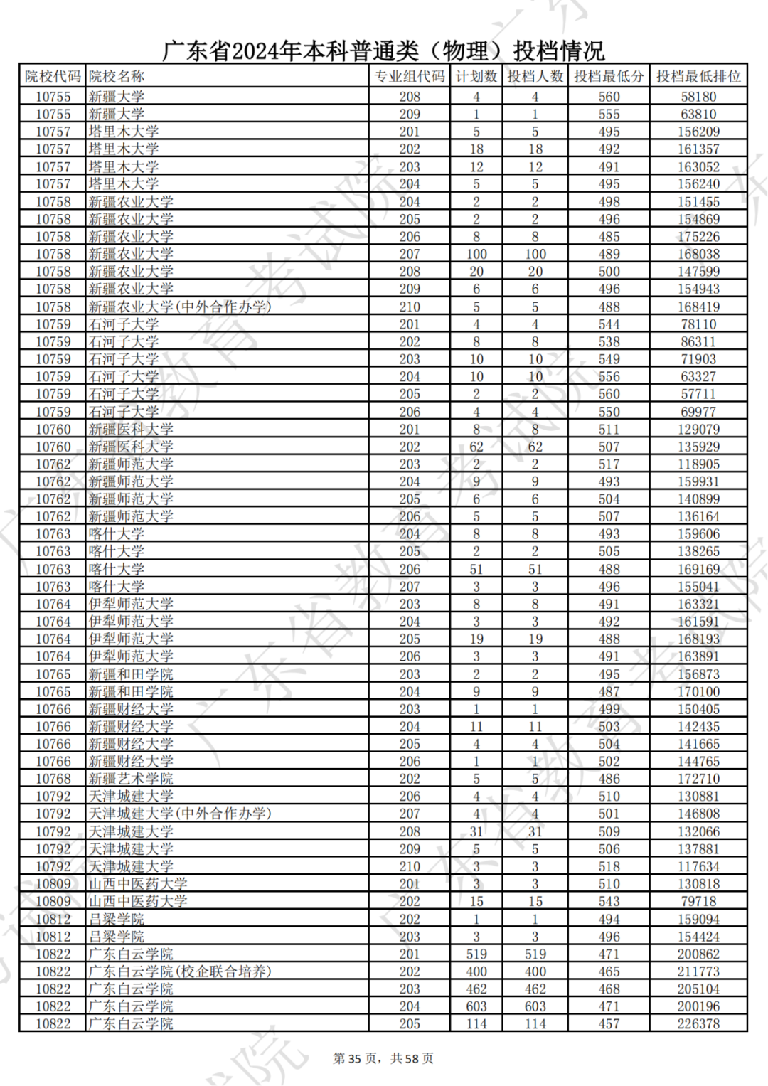
本科物理类

广东省2024年本科物理类投档情况
▼▼▼
本科艺术/体育类

广东省2024年本科美术与设计类统考投档情况
▼▼▼
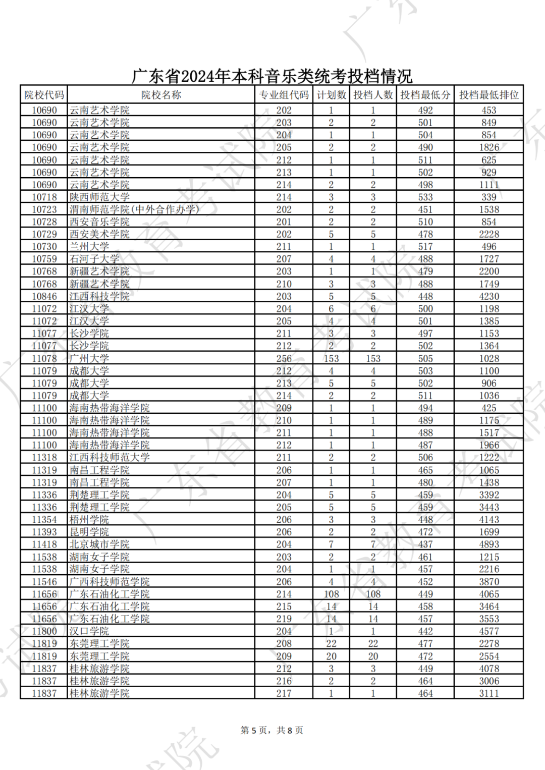
广东省2024年本科音乐类统考投档情况
▼▼▼
广东省2024年本科体育类投档情况
▼▼▼
广东省2024年本科表(导)演类统考投档情况
▼▼▼
广东省2024年本科书法类统考投档情况
▼▼▼
广东中职生也能考本科“中职升本科”试点已经开展多年,2024年共有韶关学院、韩山师范学院、嘉应学院、广东技术师范大学、岭南师范学院、广东白云学院、广东科技学院、广东工商职业技术大学、广州科技职业技术大学等9所应用型本科高校面向全省招收中职毕业生。中职生考本科,须满足这些专业对口和证书才能报!
为了让更多有志于通过3+证书高考考本科的25届同学上岸本科院校,新易学本科班来了!
授课模式:
文化科学习+校考技能培训。在全日制班的基础上,为冲刺本科的学生进行校考基础学习,巩固和测试,文化+技能双向提升。
开课时间:
跟随全日制开班时间。周一至周五进行文化科学习,周末进行校考基础学习,考前开展集训。

自本科院校部分专业开放招生以来,新易学高职高考班培育了上百名本科生。
2024年3+证书本科院校共招生1360人,新易学高职高考班学子30人上岸本科!其中,本科护理专业21人上岸,10人上岸韶关学院,11人上岸嘉应学院。全省本科护理专业仅招60人,每3人里面就有一个来自新易学。
紧贴考纲 零基础学习
专业教师 面授培训
▼▼▼
新易学教育总部在广州黄埔区,交通便利,学术氛围浓厚,欢迎各位同学以及家长实地考察,我们经得起考验。

新易学热点关注
最新文章
-
2024年广东省公办专科院校满意度排行榜来了(数据截止至:20[…]
-
公办基本都200+分头部院校更是被疯抢没有350分上不了深职大[…]
-
汕尾职业技术学院-Shanwei Polytechnic-院校基本信息中文名[…]
-
新学年伊始,深职大华侨城校区正式启用,迎来创新创意设计学[…]
-
罗定职业技术学院-Luoding Polytechnic-院校基本信息中文名[…]
-
今年6月,教育部公布了,全国高等学校名单,截至2024年6月20[…]
-
广东岭南职业技术学院-GuangdongLingnan Institute of Te[…]
-
9月12日上午,广东碧桂园职业学院举行新建学生宿舍明德楼落[…]
-
2024年9月全国英语 计算机等级考试准考证近期可打印速查你[…]
-
2024年9月7日,肇庆医学院迎来了首批本科生。这是该校升格为[…]
-
2024年9月全国英语 计算机等级考试准考证近期可打印速查你[…]
-
自2018年以来,中职生直升本科已经不是什么新鲜事了,那么中[…]
-
广东机电职业技术学院-Guangdong Jidian Polytechnic-院校[…]
-
广东女子职业技术学院-Guangdong Women& 39;s Polytechni[…]
-
2024年9月全国英语 计算机等级考试准考证近期可打印速查你[…]