
954人公办也不读!又有两所3+院校公布23年新生放弃入学资格名单
发布时间:2023-10-26 08:21:26 来源:广东中职生 阅读:
此前,大撕兄整理发布了多所3+公办院校放弃入学的名单,戳:多所3+院校公布放弃入学名单!公办不读原因曝光!24年3+竞争压力不小!
近日,广东科贸职业学院和广东茂名健康职业学院也发布了2023新生放弃入学的名单!一起来看
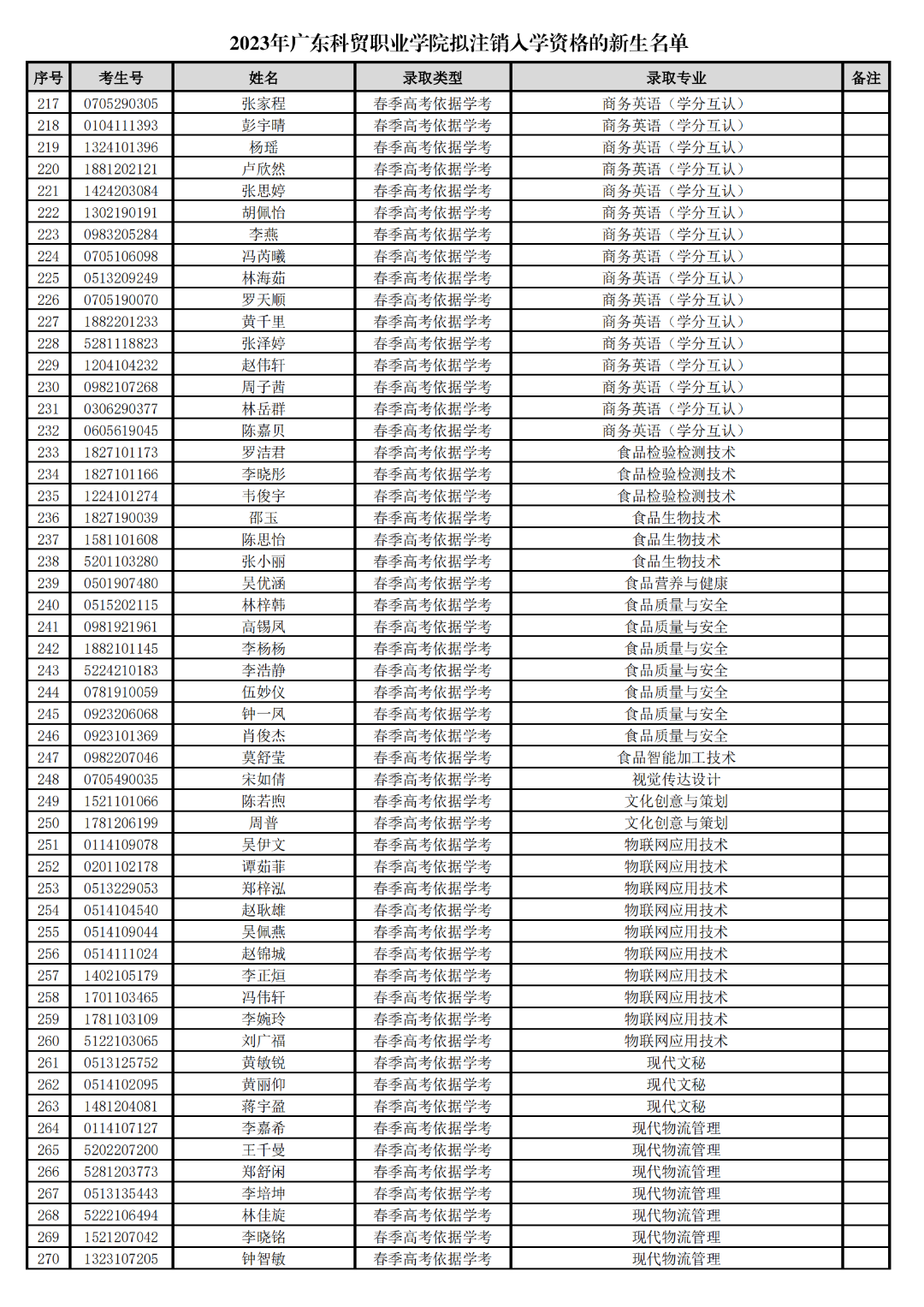
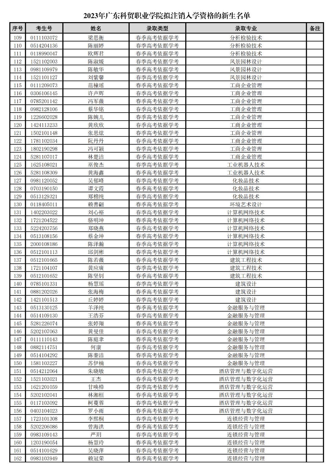
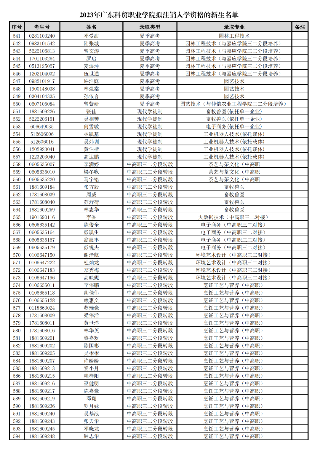
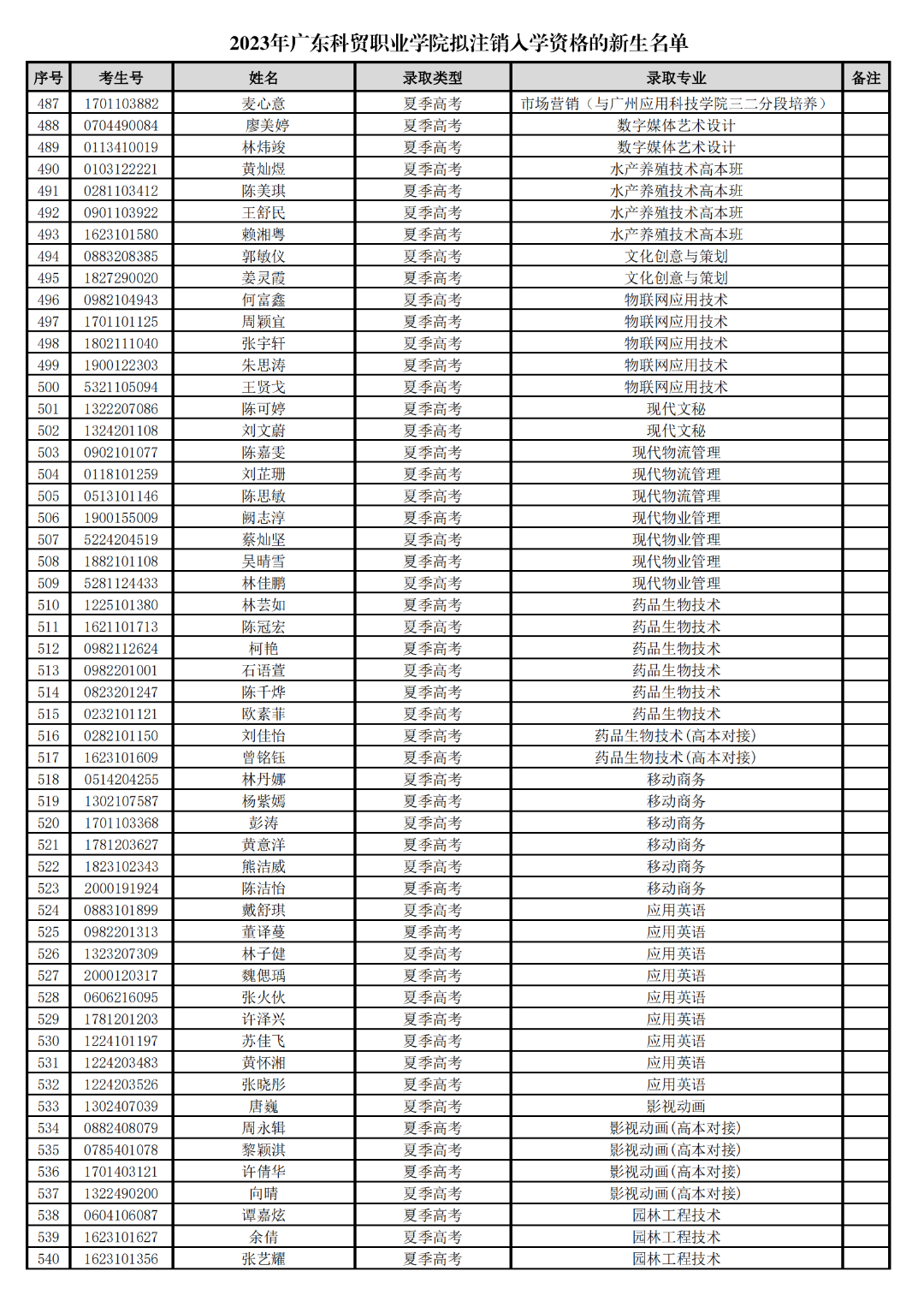
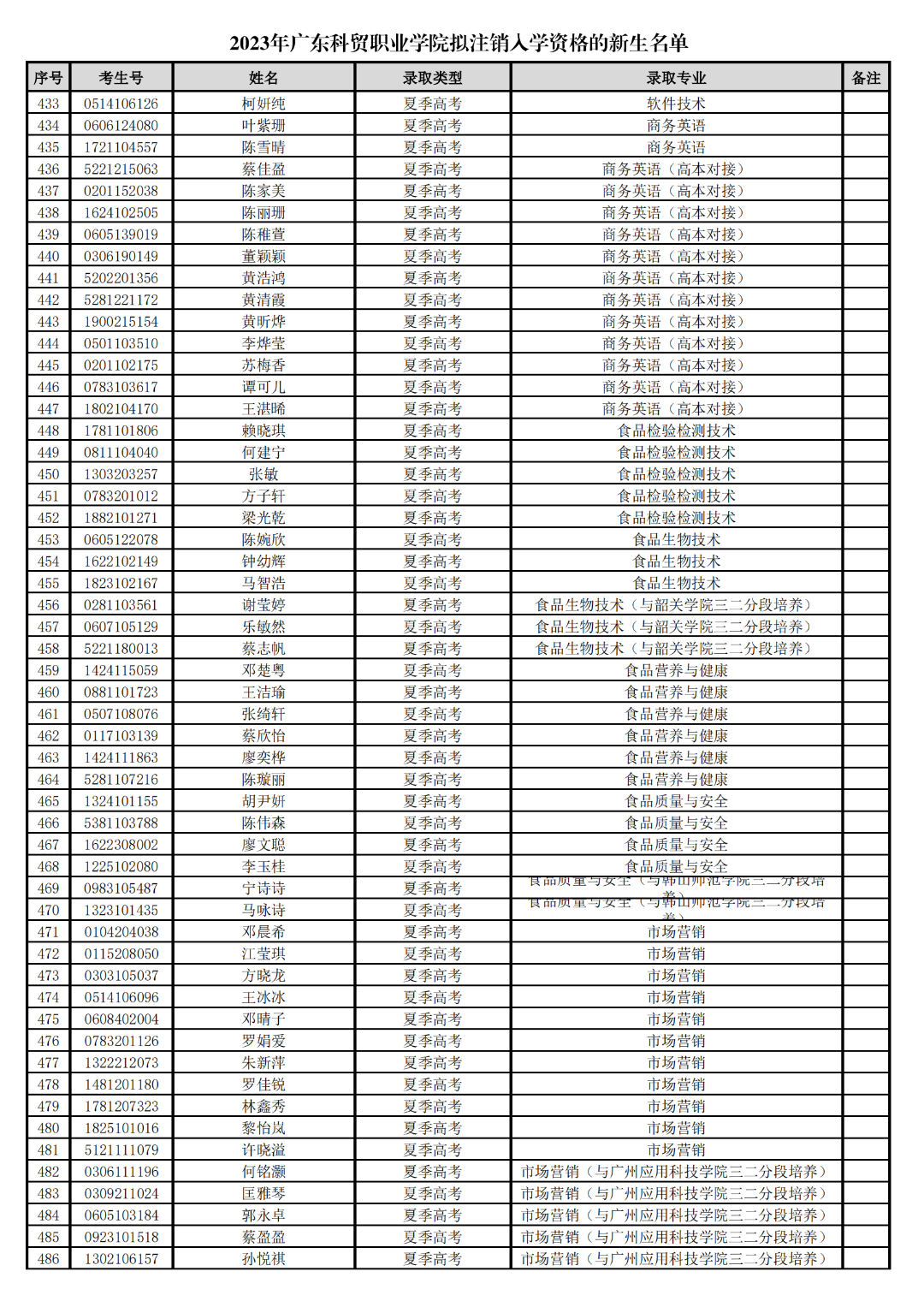
2023年广东科贸职业学院
拟注销入学资格的新生名单公示
根据《关于做好2023年广东省普通高等学校录取新生报到工作的通知》(粤招办普〔2023〕37号)有关要求,我校拟对2023年未经学校同意逾期不报到的新生进行注销其入学资格。现将2023年拟注销入学资格新生名单进行公示,公示期为10月24日至10月26日。
公示期间,如有异议,请与学校招生办公室联系,联系电话:0763-3989393。
公示结束且无异议后,我校将向省考试院提交注销入学资格名单,办理电子档案注销手续。注销后,相关责任由考生本人及家长承担。
广东科贸职业学院招生办公室
2023年10月23日
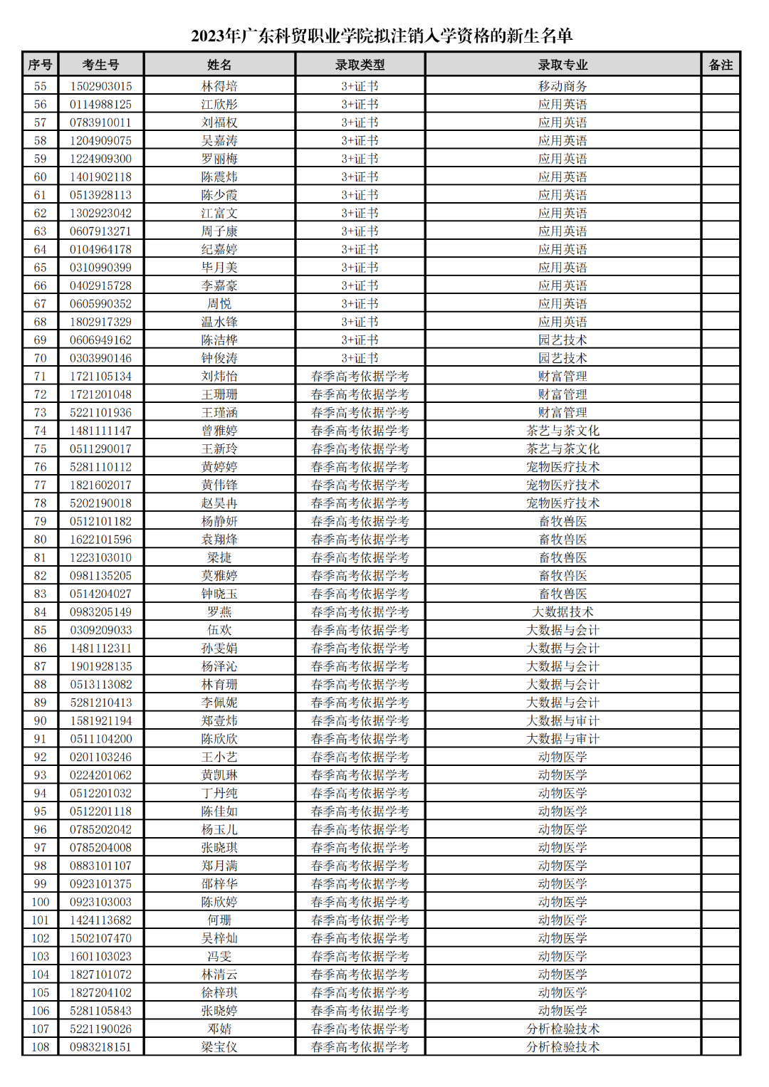
根据《关于做好2023年广东省普通高等学校录取新生报到工作的通知》(粤招办普〔 2023〕37号)文件精神,为确保在教育部注册新生学籍数据的准确无误,现将未在规定时间内来校报到、自行放弃入学资格的2023年高考录取新生324人(具体名单如下)进行公示,公示时间为2023年10月23日到26日,公示期间如有异议,可以通过电话(0668-2902527)、邮箱(m2904228@163.com)等形式向我校招生办公室更正,公示期结束且无异议后,将按照相关文件规定对未办理保留学籍手续的不报到新生进行注销其电子档案处理,注销后相关责任由考生本人承担。
2023年放弃入学资格考生名单
(上下滑动可查看全部名单)
新易学高职高考单科冲刺班,
帮各位小伙伴在复习备考冲刺阶段,
抓住重点,聚焦常考点,预测考点
通过救命技巧-真题密训-考前大招
助你高职高考拿高分