当前位置:
院校动态 > 深职大555分!本科投档线公布!中职生能考其中9所,要很高分?
 
    
    
          
        
      
      
      
      
		  
 
	
		重磅!
		广东高考本科批各院校投档线公布!
		深圳职业技术大学首次招生最低555分!
	
	
		
		
		
		
			
			 
			
				
					本科历史类
					
				
			
			广东省2023年本科历史类投档情况
			▼▼▼
			
			
			
			
				
					本科物理类
					
				
			
			广东省2023年本科物理类投档情况
			▼▼▼
			
			
			
			
				
					本科艺术/体育类
					
				
			
			广东省2023年本科美术类统考投档情况
			▼▼▼
			
			
			 
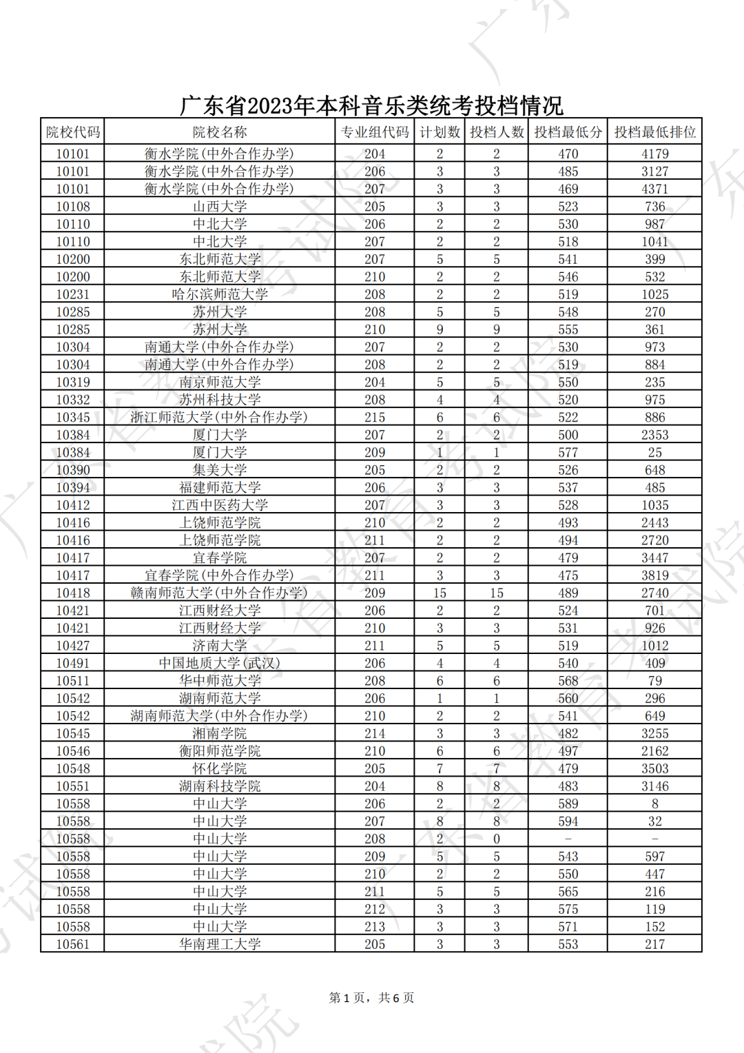
			广东省2023年本科音乐类统考投档情况
			▼▼▼
			
			
			 
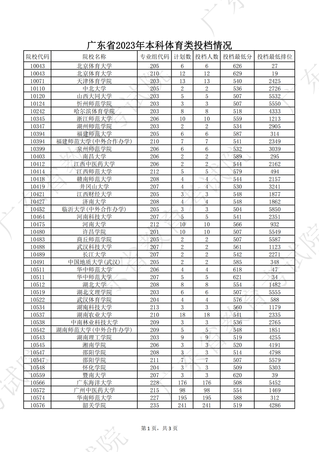
			广东省2023年本科体育类投档情况
			▼▼▼
			
			
			 
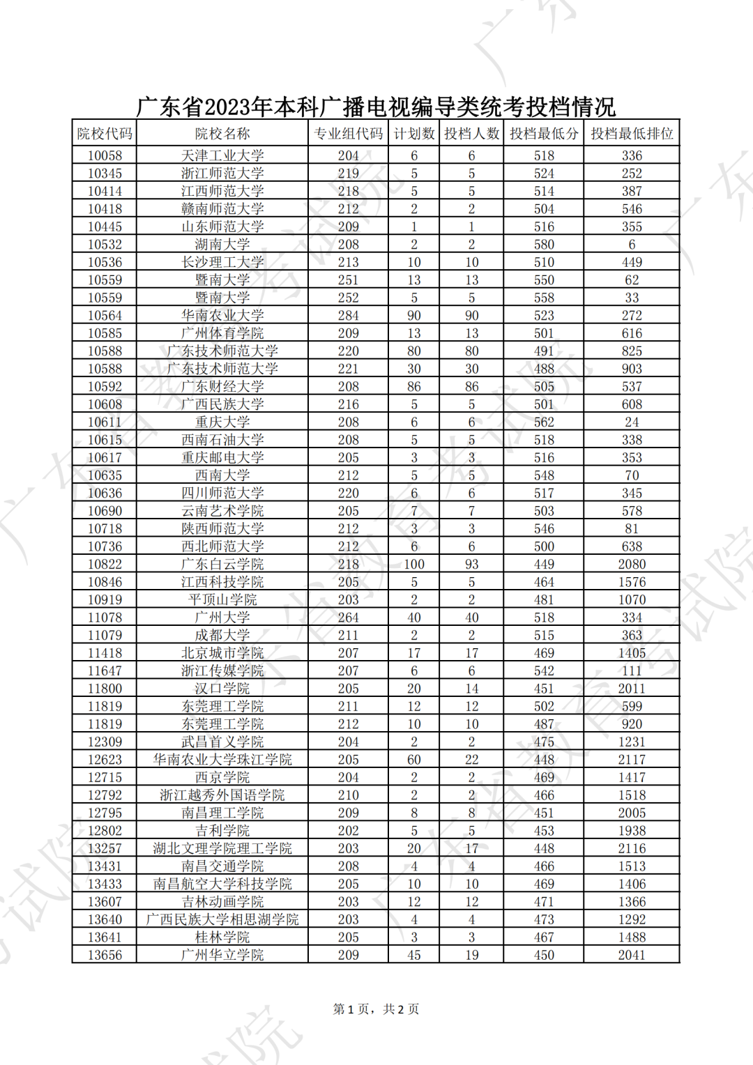
			广东省2023年本科广播电视编导类统考投档情况
			
			
			
			 
			
			
			▼▼▼
			
			
			广东省2023年本科书法类统考投档情况
			▼▼▼
			
			
			
			
			
			
			
			
广东中职生也能考本科“中职升本科”试点已经开展多年,2023年共有韶关学院、韩山师范学院、嘉应学院、广东技术师范大学、岭南师范学院、广东白云学院、广东科技学院、广东工商职业技术大学、广州科技职业技术大学等9所应用型本科高校面向全省招收中职毕业生。
		
	
	
		
			
中职生怎么考本科?报名须知、录取分数、证书要求都在这了!近三年录取分数
		
	
	
		
			
				
					
						
							 
							3+证书十年真题纸质版!纸质版!
							免费领!免费领!
							做真题就是和出题者在对话
							2024年参加3+证书的你
							和出题者的距离
							就差这套十年真题卷了
							 
							
						
					
				
				 
			
			
		
	
 
 
		
        
         
        
      
      
      
     
   
  
    
    
      
      新易学热点关注
      
      
     
    
      最新文章
       
             
        	   	    - 
          
          
            
            2024年广东省公办专科院校满意度排行榜来了(数据截止至:20[…]
           
          
         
		    	   	    - 
          
          
            
            公办基本都200+分头部院校更是被疯抢没有350分上不了深职大[…]
           
          
         
		    	   	    - 
          
          
            
            汕尾职业技术学院-Shanwei Polytechnic-院校基本信息中文名[…]
           
          
         
		    	   	    - 
          
          
            
            新学年伊始,深职大华侨城校区正式启用,迎来创新创意设计学[…]
           
          
         
		    	   	    - 
          
          
            
            罗定职业技术学院-Luoding Polytechnic-院校基本信息中文名[…]
           
          
         
		    	   	    - 
          
          
            
            今年6月,教育部公布了,全国高等学校名单,截至2024年6月20[…]
           
          
         
		    	   	    - 
          
          
            
            广东岭南职业技术学院-GuangdongLingnan Institute of Te[…]
           
          
         
		    	   	    - 
          
          
            
            9月12日上午,广东碧桂园职业学院举行新建学生宿舍明德楼落[…]
           
          
         
		    	   	    - 
          
          
            
            2024年9月全国英语 计算机等级考试准考证近期可打印速查你[…]
           
          
         
		    	   	    - 
          
          
            
            2024年9月7日,肇庆医学院迎来了首批本科生。这是该校升格为[…]
           
          
         
		    	   	    - 
          
          
            
            2024年9月全国英语 计算机等级考试准考证近期可打印速查你[…]
           
          
         
		    	   	    - 
          
          
            
            自2018年以来,中职生直升本科已经不是什么新鲜事了,那么中[…]
           
          
         
		    	   	    - 
          
          
            
            广东机电职业技术学院-Guangdong Jidian Polytechnic-院校[…]
           
          
         
		    	   	    - 
          
          
            
            广东女子职业技术学院-Guangdong Women& 39;s Polytechni[…]
           
          
         
		    	   	    - 
          
          
            
            2024年9月全国英语 计算机等级考试准考证近期可打印速查你[…]