您好,欢迎进入新易学高职高考辅导班网站!这有最新最热的高职院校动态资讯,3+证书高考相关事宜等 24小时咨询热线: 15622269882
高职高考全日制班
基础班,全面提升
高职高考周末制班
冲刺班,集中冲分
高职高考名师班
名师辅导,一对一答疑
传媒高考技能培训
省内唯一挂牌培训机构
艺考文化课
艺考冲刺,致胜高考
辅警技能培训
协议培训,保证上岗
青少年夏令营
感受黄埔军校精神
当前位置:院校动态 > 过了!多校公布自主招生符合资格考生名单!

过了!多校公布自主招生符合资格考生名单!

发布时间:2021-05-07 11:38:08 来源:新易学教育 阅读:

 

 

 

 

 

 

 

 

 

 

 

 

 

 

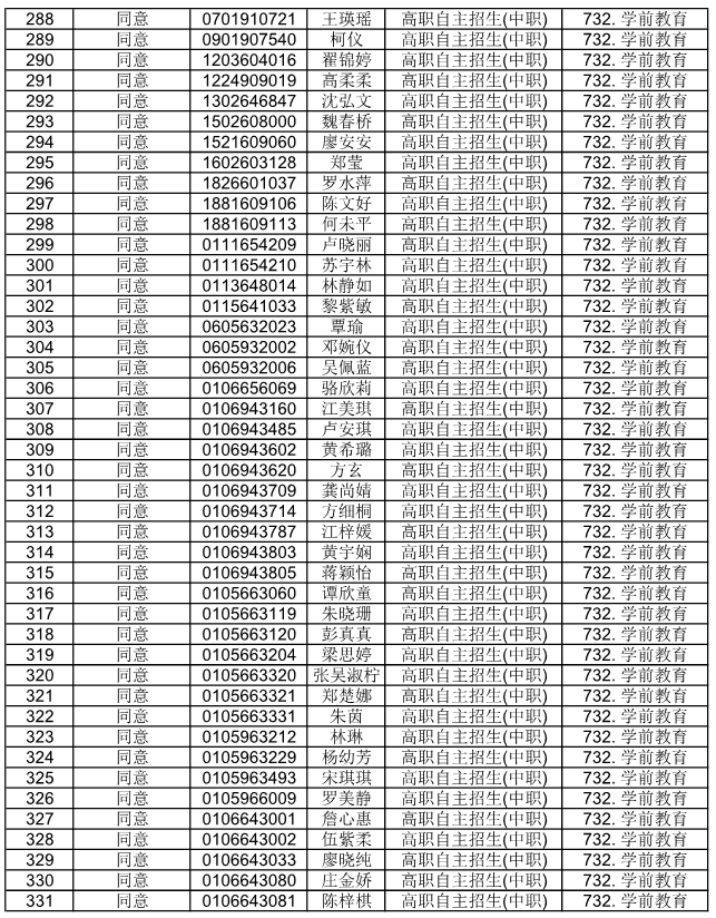
2021年高职自主招生报名结束,接下来录取日程表如下
近日,广州体育职业技术学院、广东体育职业技术学院、揭阳职业技术学院等院校相继公布自主招生报考资格审核通过考生名单,有你吗?
 
广州体育职业技术学院

 
免试考生名单
 
广东体育职业技术学院
 
揭阳职业技术学院

 

广东省外语艺术职业学院
(请滑动查看)

 

(一)

中职获奖免试名单公示

 

(二)

自主招生(面向中职生)

 

(三)

自主招生(高职专业学院)

 

 

 

惠州工程职业学院

(请滑动查看)

 

广东生态工程职业学院

(请滑动查看)

 

 

 

深圳信息职业技术学院
(请滑动查看)
 
点个小花,给大撕兄多一点动力!

 


相关文章

*新易学郑重承诺以上信息完全保密

最新文章