
24年这些3+考生最高可加20分!考试院最新通知→
发布时间:2023-10-18 08:50:01 来源:广东中职生 阅读:
临近3+证书报名
要准备哪些材料?报考流程是怎样的?
本周五晚上
新易学钱校和橙橙老师直播为你讲解~
敬请留意《高考报考指导大会》
以下同学在明年3+证书考试中
不仅可以加分
还有优先录取资格
快看看,你是否符合资格吧?
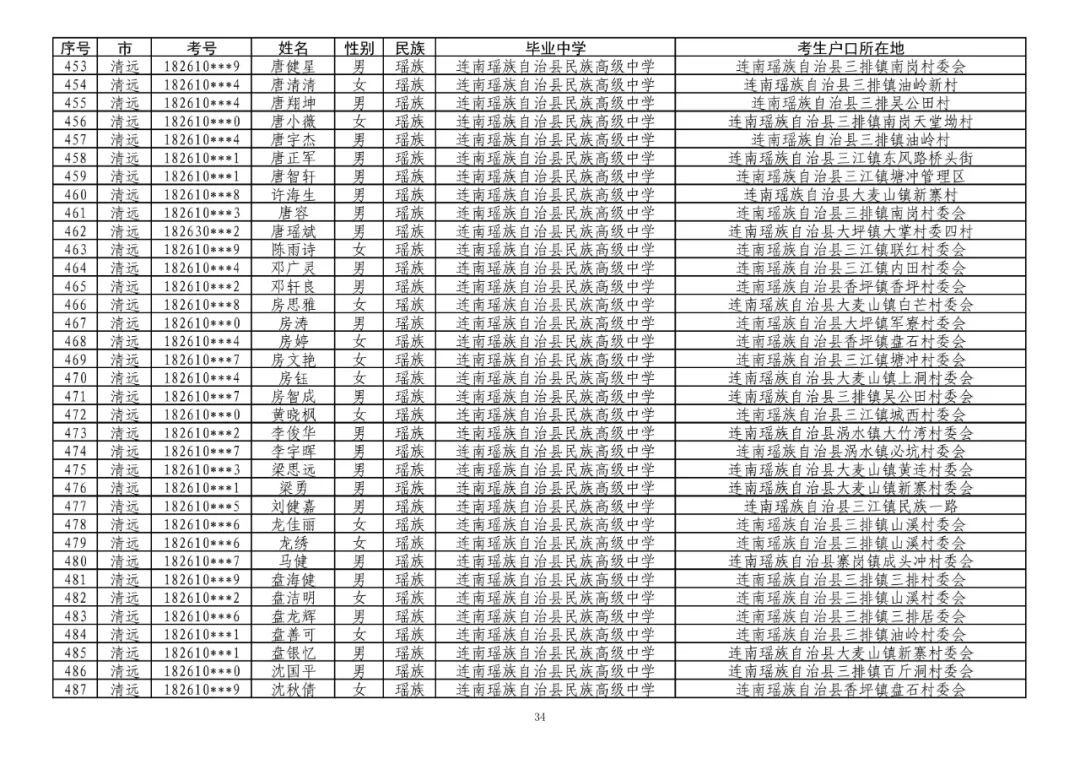
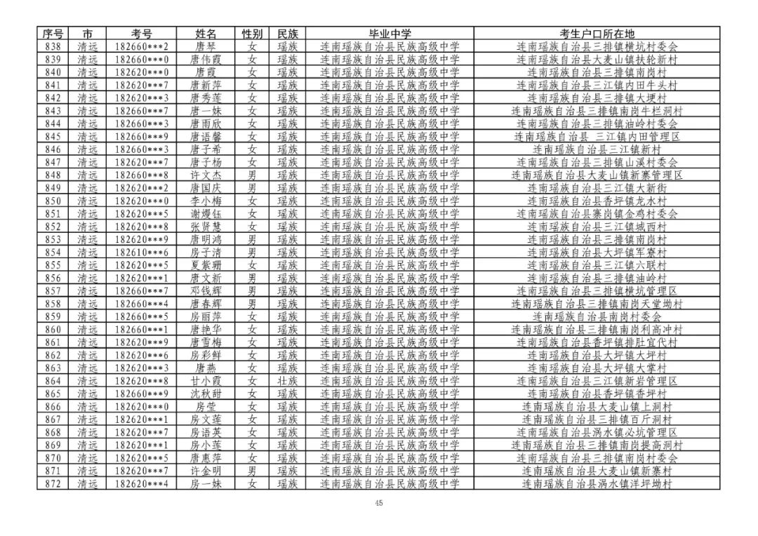
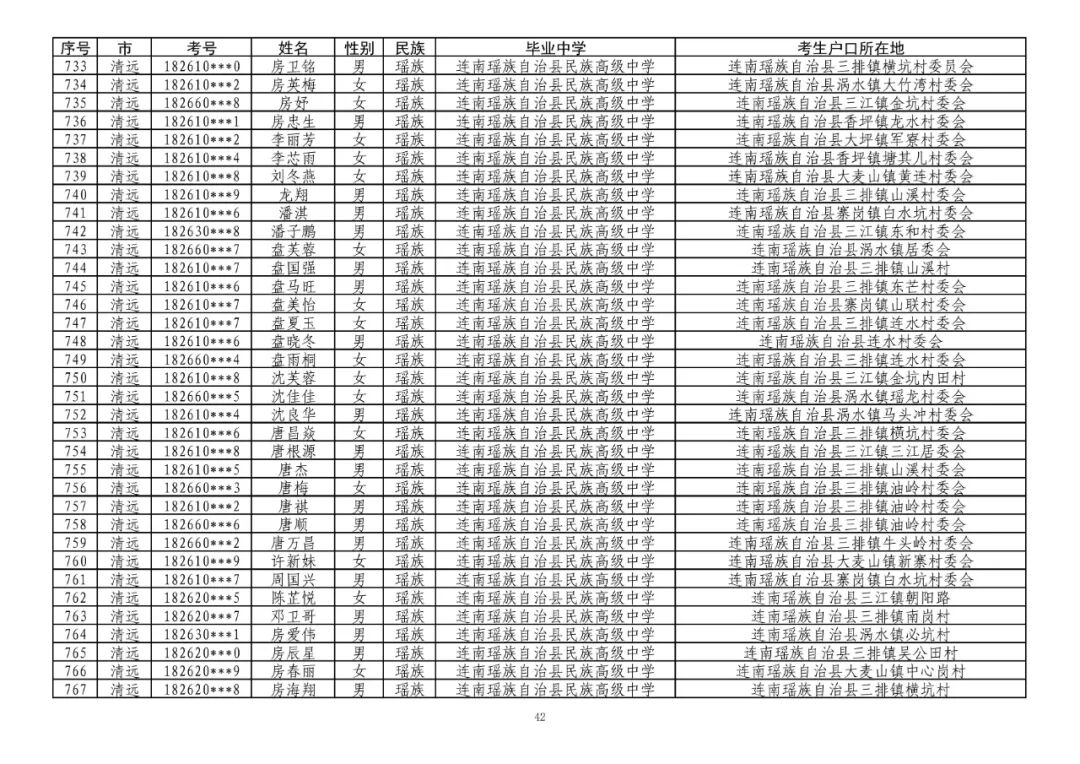
根据广东省教育考试院公布的2024年普通高考加分资格考生信息采集分类表,烈士子女(指其他烈士子女)本科、专科都是加20分,其他类型加分则均为加5分。
(图源:广东省教育考试院2024年高考报名文件)
当考生符合多项资格时,在系统中可以多选,并按本、专科层次选择高分项输入。
1、申请时间:高考加分申请一般在高考报名时进行,具体时间以当地招生部门通知为准。
2、申请方式:考生需要在高考报名表中填写相应的信息,如文艺、体育特长、军训成绩等。同时,需要提供相关证明材料。
3、审核程序:申请材料提交后,招生部门将进行审核。审核通过的考生,在高考成绩公布后,可获得相应的加分。
烈士子女(非军人烈士子女)考生:本人身份证、家庭户口本(含考生及父或母)、父母结婚证、烈士证明书、抚恤证等原件及复印件
注意:省招生办复核后,将符合普通高考考生加分资格名单在省教育考试院网站予以公示。未经公示的考生不能获得相关加分资格。
此外:
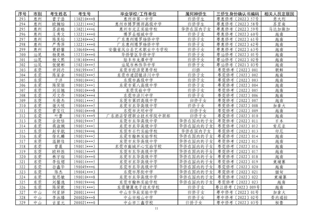
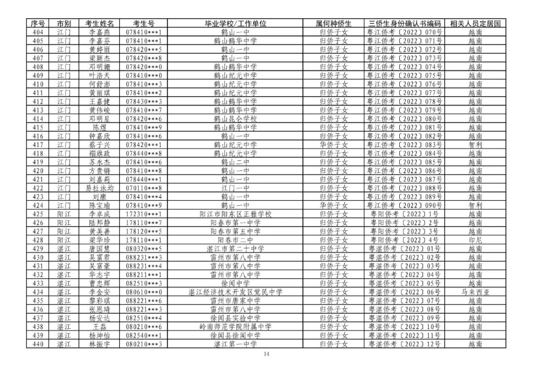
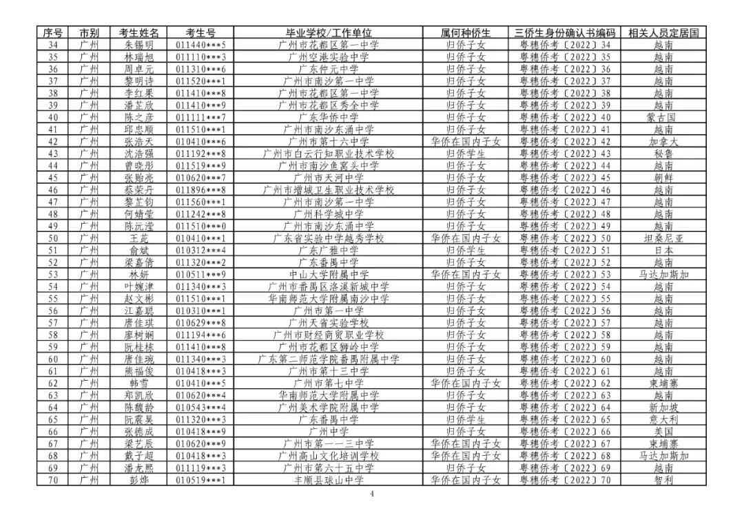
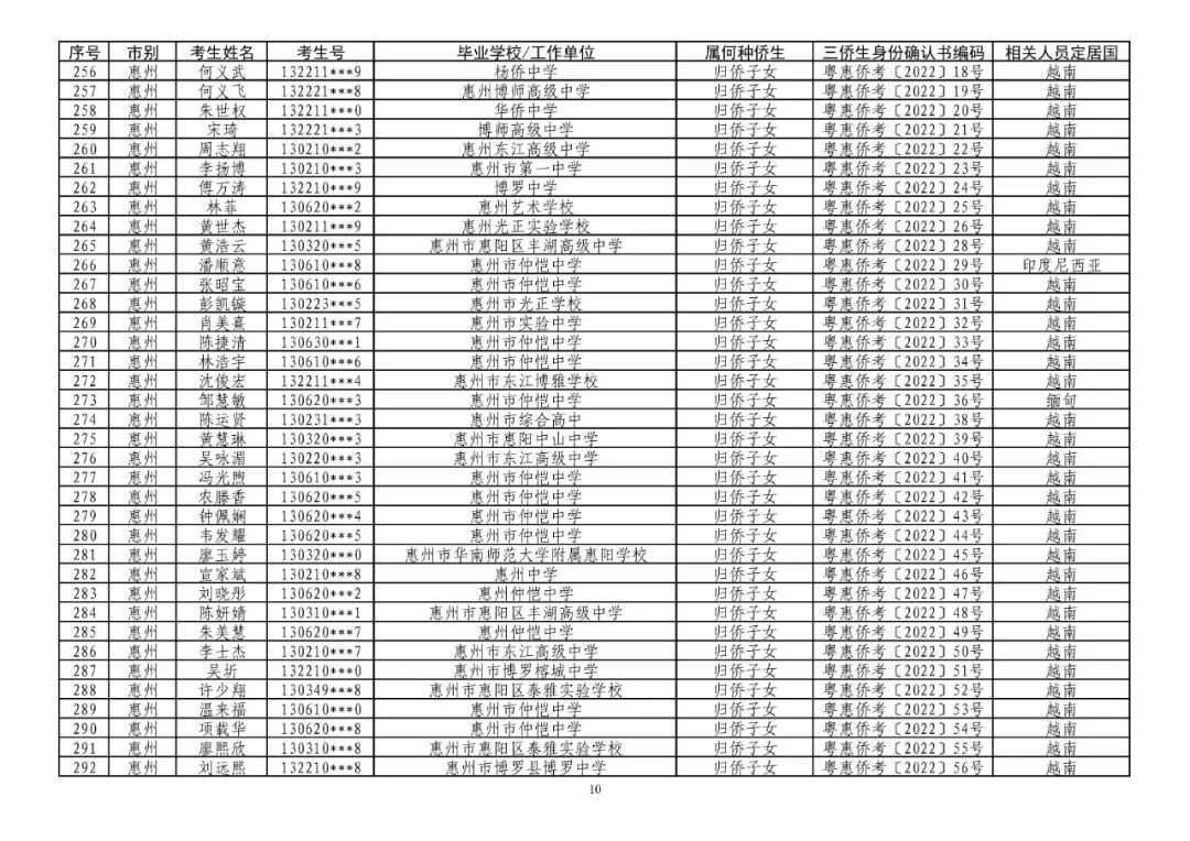
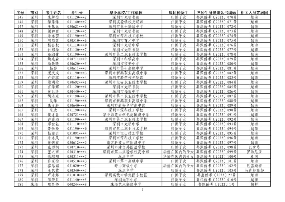
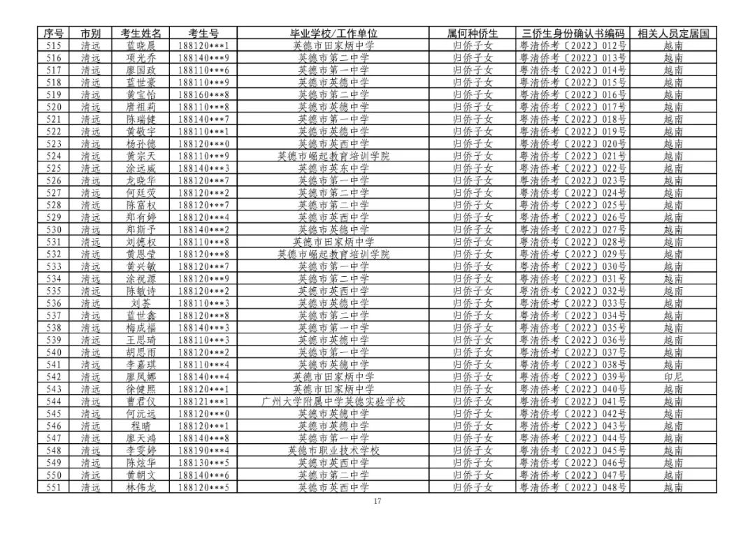
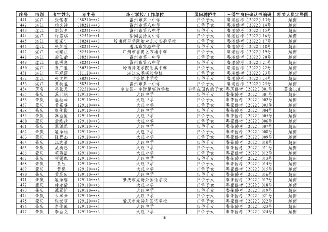
1.“三侨生”:在本、专科录取时可加5分投档。
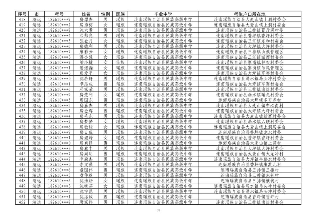
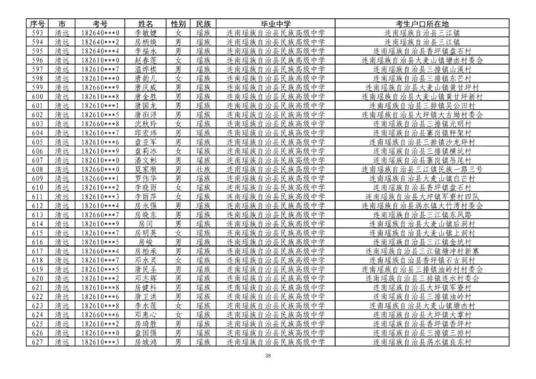
2.广东省少数民族聚居区少数民族考生:
广东2015年起取消了以下高考加分项目:
A.取消少数民族聚居区的汉族考生加分项目,调整为同等条件下优先录取;
B.取消因公牺牲的军人和人民警察的子女,立个人一等功(含)以上的军人和人民警察子女专科层次加分项目,仅享有报考高职院校自主招生时优先录取;
C.取消扶贫开发重点县考生加分项目,调整为同等条件下优先录取。
D.取消体育特长生加分项目。
(上下滑动查看↑)
如果身边有符合条件的朋友
可以转给ta哦~