当前位置:
填报志愿 > 什么是补录?85分就上公办?今年这些3+院校最可能补录

今天我们讲讲第一次投档之后,万一失败了,补录(征集志愿)的事。补录是在第一次投档结果公布后的几天内再进行的一次填志愿,近年补录只有一次。
补录从字面上就能理解它的意思:指的是一些院校在第一次招生的时候因为填该学校的人少,没有招满,然后进行的第二次录取。参加补录的院校一般都是民办院校居多,参加补录的公办院校极少。
出现补录的原因也很简单:分数线以及院校投档人数是在录取结果出来之后才出的,这会导致一种情况:同学们不清楚自己报的院校的状况。
从而会出现有些学校报的人数爆满,有的学校没人报。再加上刚刚我们说了,有的同学会因为不服从调剂而被退档。而每个学校在每年是有一定的招生指标的。
因此,很多学校在第一轮没有招满招生指标的时候。会进行征集志愿,也就是我们平时所说的补录。
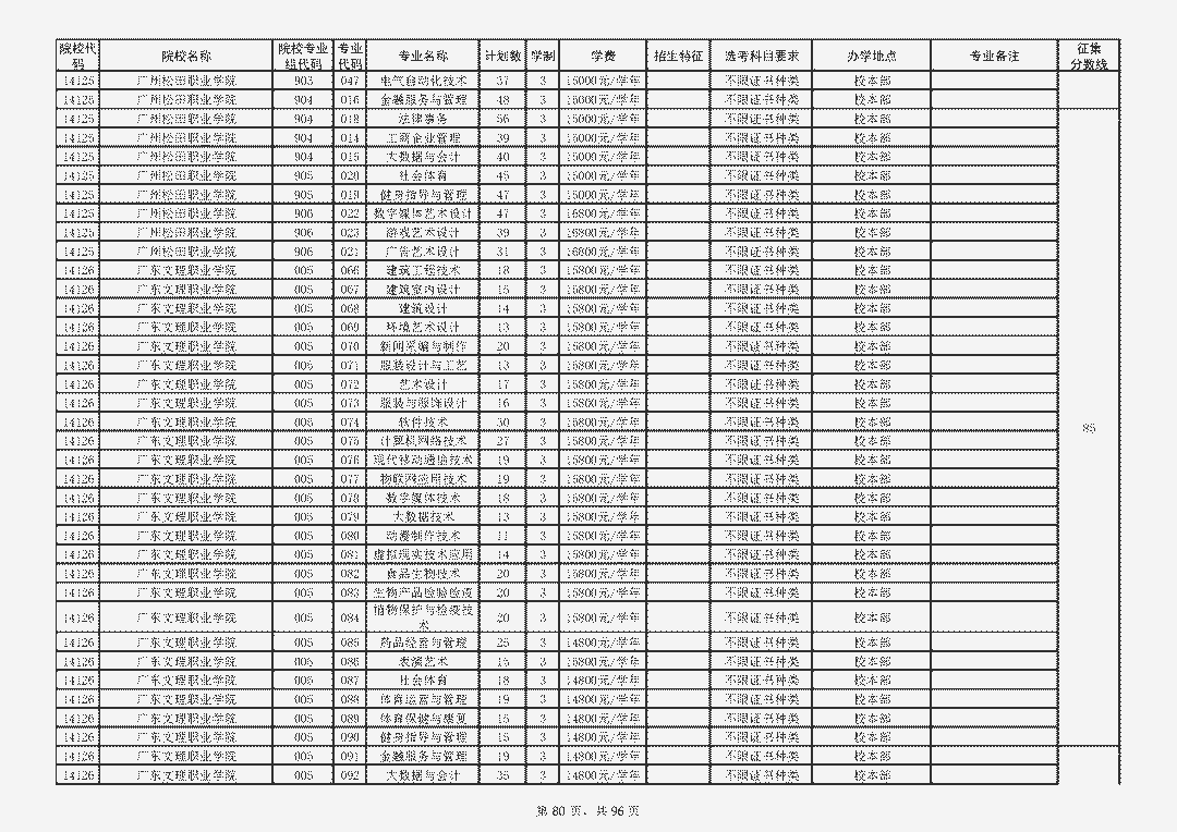
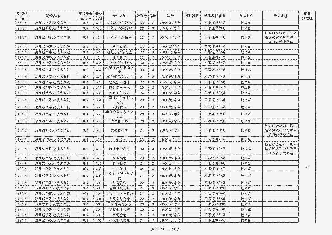
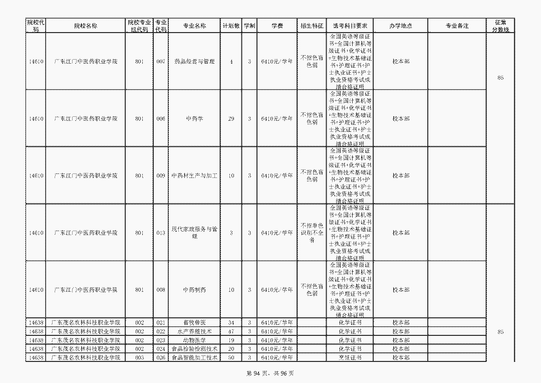
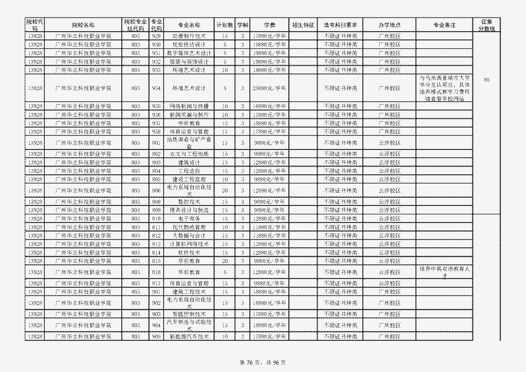
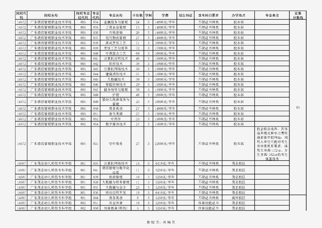
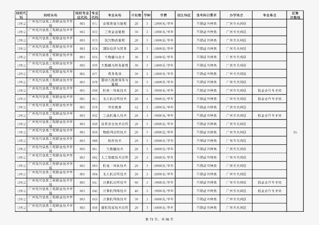
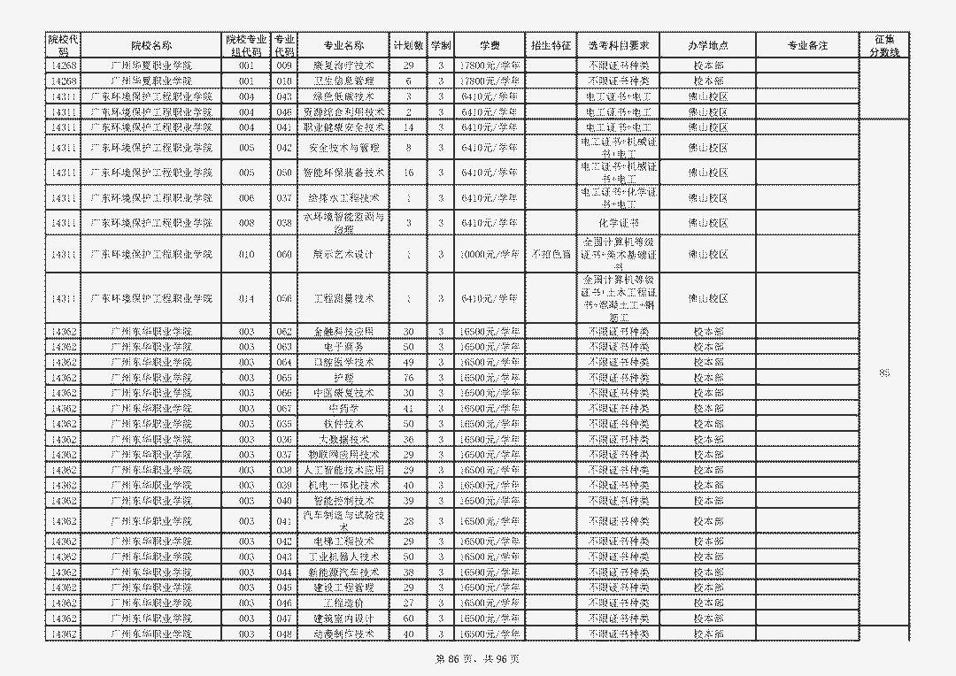
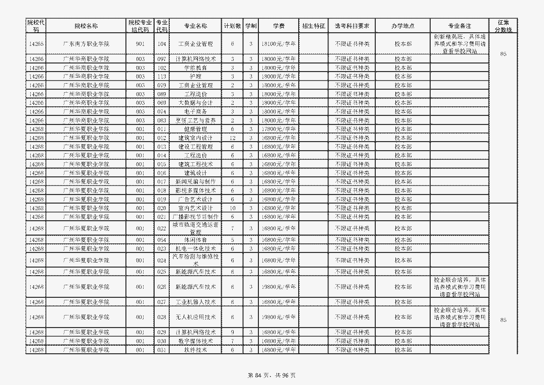
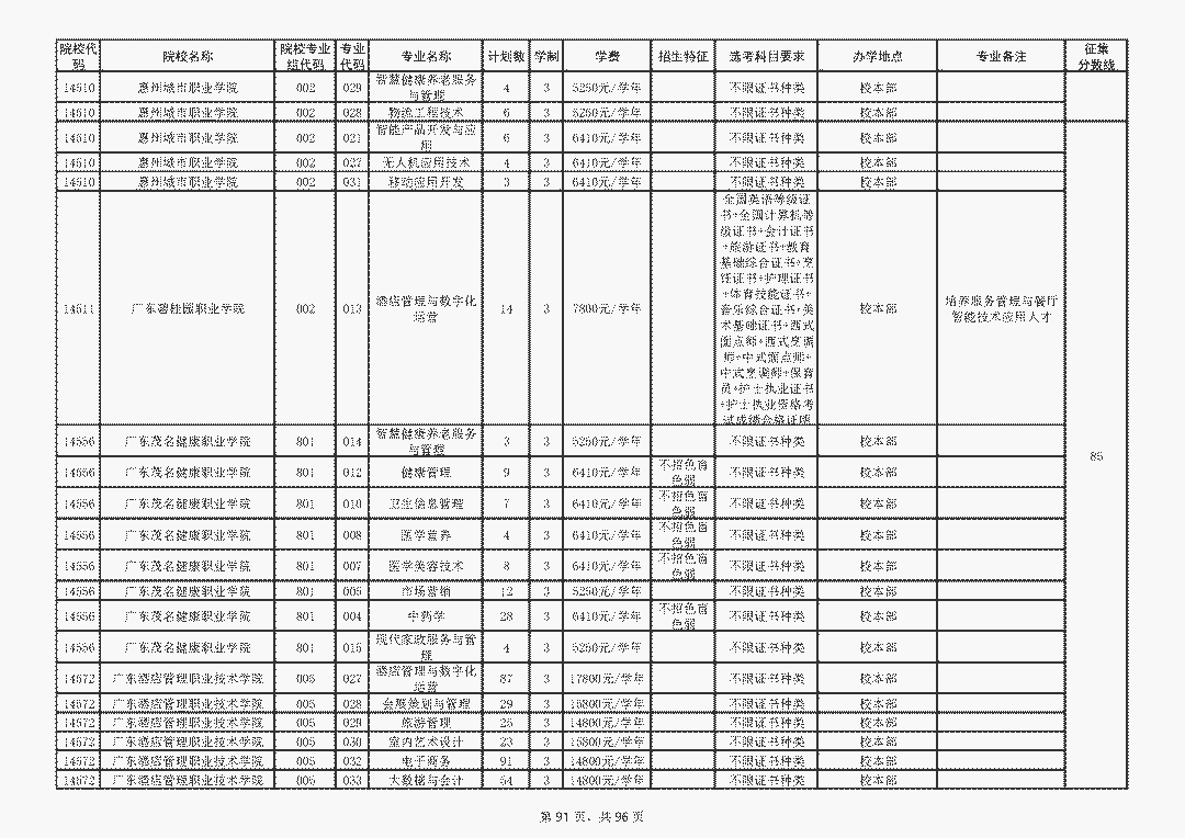
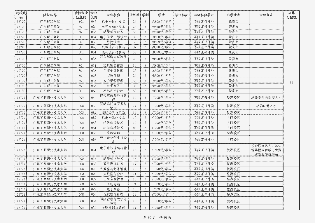
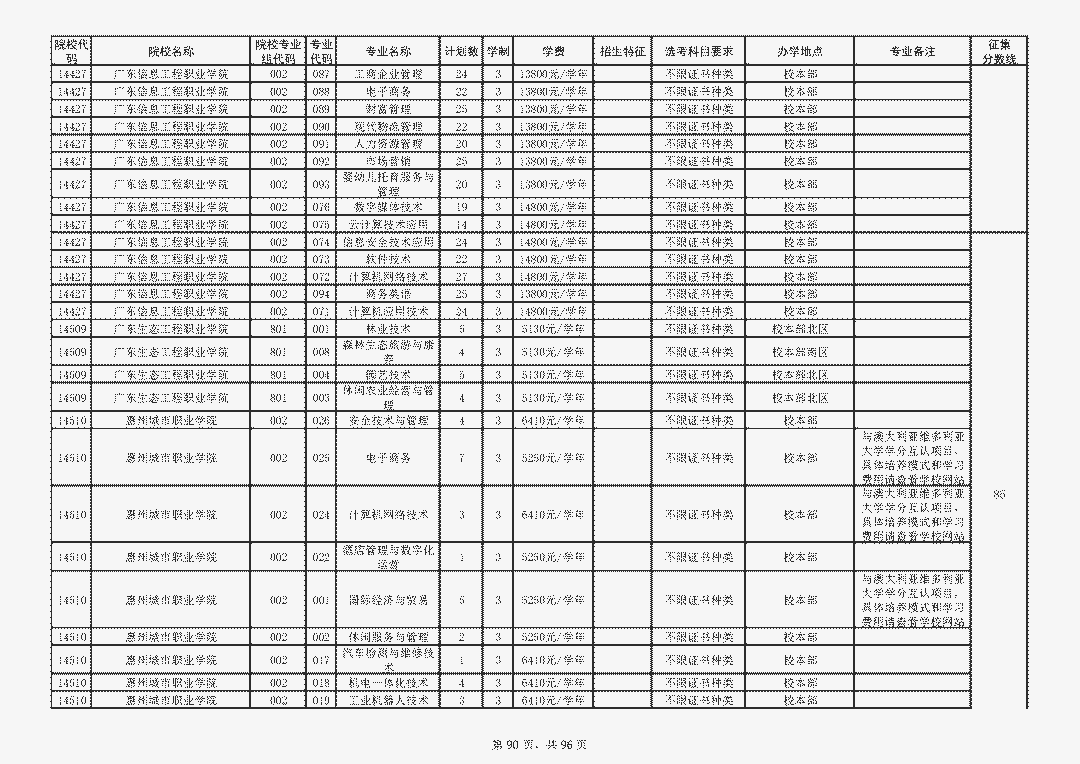
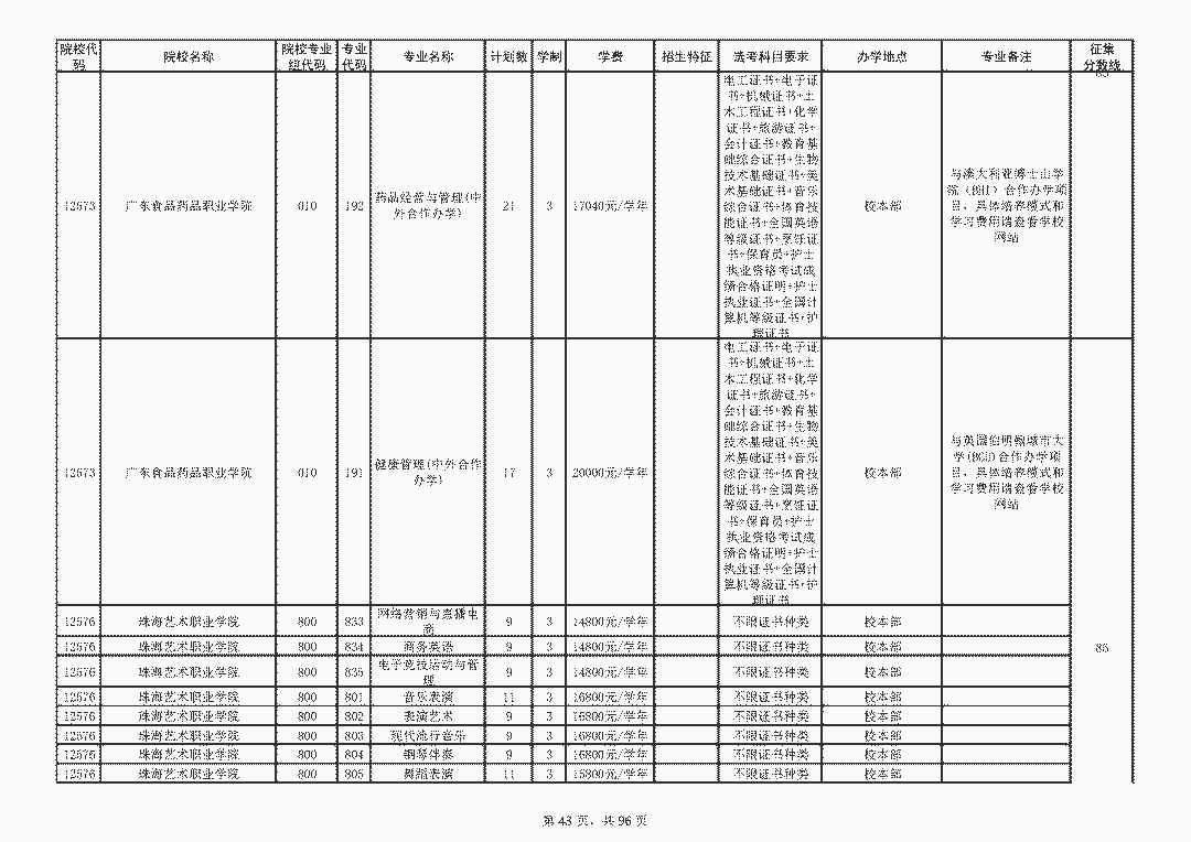
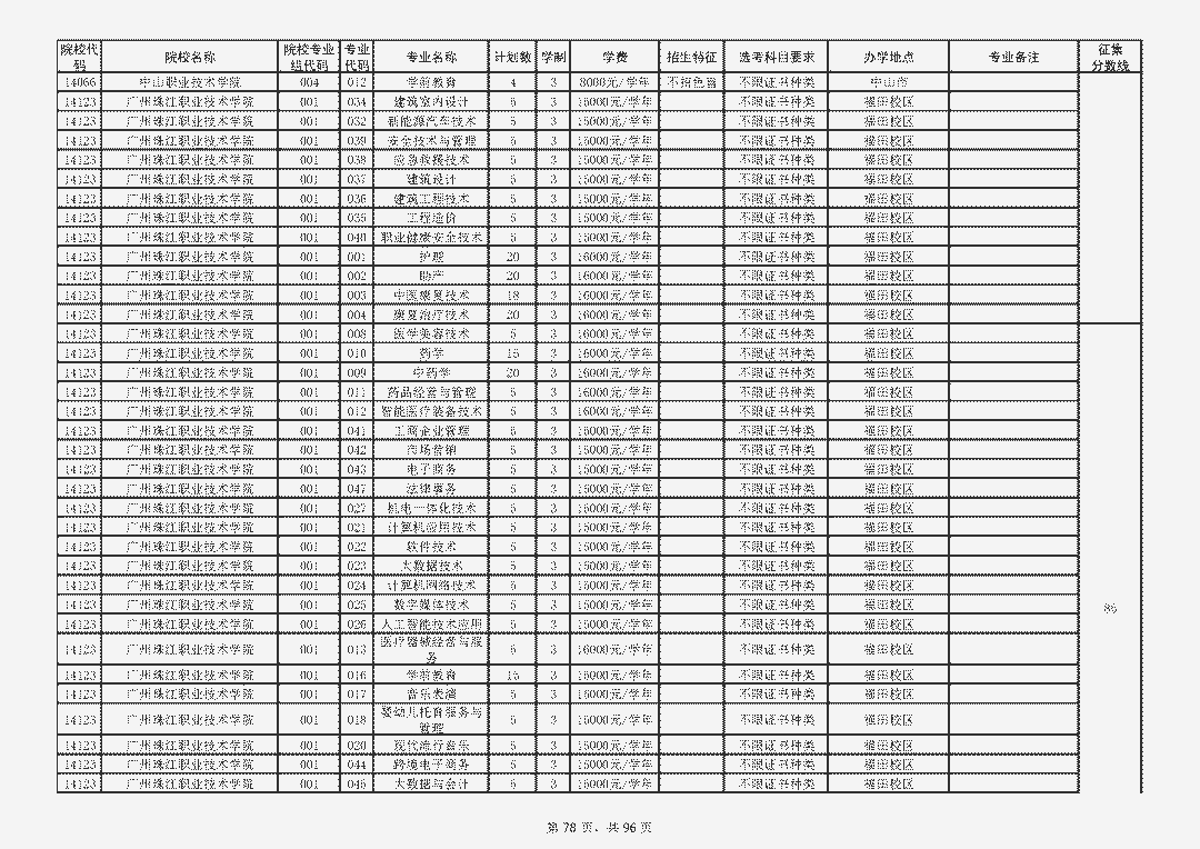
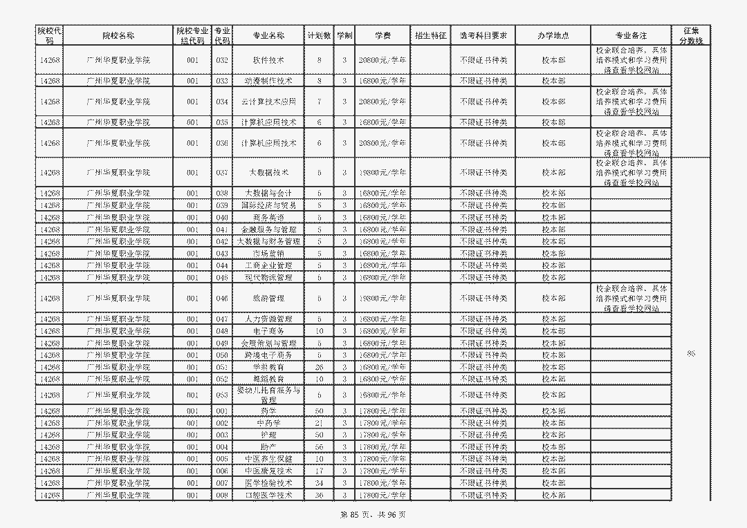
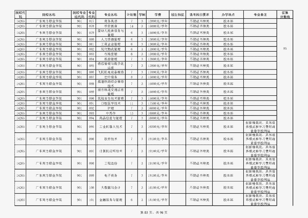
补录也和第一次投档一样,有设定省控线。比如去年的补录省控线是85分,那如果你低于85分,你就无法参加补录。
1、没有达到第一轮投档的省控线,也就是低于100分的同学,只能等补录。
1)在志愿填报中,填报的35个专业组院校的分数都没达到,最终被退档了。
2)虽然达到了某个学校的分数线被调档了,但是由于自己所填报的专业的专业分都没达到。又不服从调剂,这种情况下会被直接退档等补录。并不会再去检索你的第二志愿院校了。
补录一般会在第一次投档出结果之后的一两天。参加方式和第一次投档一样。
出省控线-满足条件的同学登录系统填报志愿-院校录取结束出投档线-同学们自行去查询是否被录取。
很多人觉得,补录了,分数就会很低,会参加补录的都是差学校。其实,不一定!
1、第一档次学校也会参加补录,去年番禺、广轻就参与补录了。这些学校分数会有所下降,但是降得不多。
导致这一现象的原因是:
1)分数下降完还是高分,是因为补录也是有高分层的,因为有很多同学是由于不服从调剂、志愿填报不合理、证书不符合等原因被刷下来的。
2)分数有所下降是因为,招生的指标其实不多,由中也可以推断:热门专业并不多。
2、补录并不一定都会降分,比如邮电、体育职业技术学院这些学校都涨分了!!!这种情况主要出现在第二档学校里。
导致这一现象的原因是:如上,补录也是有高分层的。这部分同学优先选择依然是一线城市的公办。
好了,关于补录大致上就讲这些了,说到底补录只是第一轮投档的延伸。而录取,其实主要还是看你的分数、你的志愿填报技巧、以及运气....

新易学热点关注
最新文章
-
往年最低录取分数线有参考价值吗?答案显然是肯定的。我们经[…]
-
距离明年3+证书考试仅剩一百多天,相信很多同学都很关心关于[…]
-
想知道院校代码?想知道院校招生专业目录?想知道报考专业选[…]
-
清远有大学城?原来是省职教城!省职教城位于清远市清城区,[…]
-
今天大撕兄帮大家根据分数把高职高考公办院校分了四个梯度看[…]
-
2025届考生请收藏本文章!广东3+证书高职高考语数英3科总分4[…]
-
随着3+证书成为中职生的主流升学渠道,每年报名的考生人数也[…]
-
-
3+证书专科批次投档线公布了。有部分同学已查到录取结果,但[…]
-
根据广东省教育考试院的录取工作日程,3+证书专科是3月27-30[…]
-
-
什么是补录?从字面上就能理解它的意思:指一些院校在第一次[…]
-
根据广东省教育考试院的录取工作日程,3+证书专科是3月27-30[…]
-
最新消息3+证书录取时间为3月27-30日多久才能查询到录取结果[…]
-
根据考试院公布的招生日程表显示,3月27-30日为录取时间,预[…]