
随着3+证书补录结束
今年3+证书招录也告一段落
但考生人数再破新高,题型有变
种种变化,也无形中给明年3+考生提醒
3+证书考试并不只是学好语数英这么简单
今天大撕兄就和大家一起看看
今年3+证书都有哪些变化吧~
今年3+证书考试,可以说是近年变化较大的一次了。
从报考人数上升,到招生计划的扩招,尤其是民办院校。从题型有变,到考生分数线层次发生变化以及依然严峻的录取形式!
今年3+证书其实值得我们好好研究一下,特别是明年考生在对今年考试形势有初步的了解后,才能更好的结合自身制定复习计划。
3+证书考试的题目虽然每年都有所变化,但像今年变化这么大,是比较少见的。特别是语文和英语,这两科本来题型都是比较固定的科目,今年有了非常大的变化。而且是毫无征兆的改变,许多学生一脸懵逼的面对试题,一脸懵逼的走出考场!
首先是语文名句默写是今年变化最大的一个板块,有两篇超出了传统规定的24篇必背指导篇目,会给中职学生带来一定的难度。这个变化也提醒备考学生,不能局限于固定的范围,背默积累需要宽备。
然后是英语也进行了题型改革:阅读三篇变成A、B两篇,出乎意料地出现了新题型——“五选五”大礼包;取消了语法单选题;同时阅读部分、语法填空在分值上也产生了变化。
据统计,今年3+证书预计有16.6万考生,而总招生计划也来到12.3万个,无论是考生人数还是招生计划对比2022年都有所提升!
近5年“3+证书”报考人数及录取人数统计
2018年考生4.98万,录取2.4万人
2020年考生 6.9万, 录取5.4万人
2021年考生 9.3万,录取7.4万人
2022年考生12.5万,录取9.2万人
2023年考生16.6万,预计录取12.3万人
然而招生计划的扩招根本不及考生人数的增长,今年整个3+证书预计录取为12.3万人左右,然而有16.6万的考生。
细算一下今年有将近4万考生是“陪跑”的这一人数也比去年要多,且虽说有扩招,但公办是比较少的。因此公办扎堆的现象今年也并未得到缓解。

大撕兄相信,明年的招生计划和考生人数会继续提升。明年的考生要有心理准备!
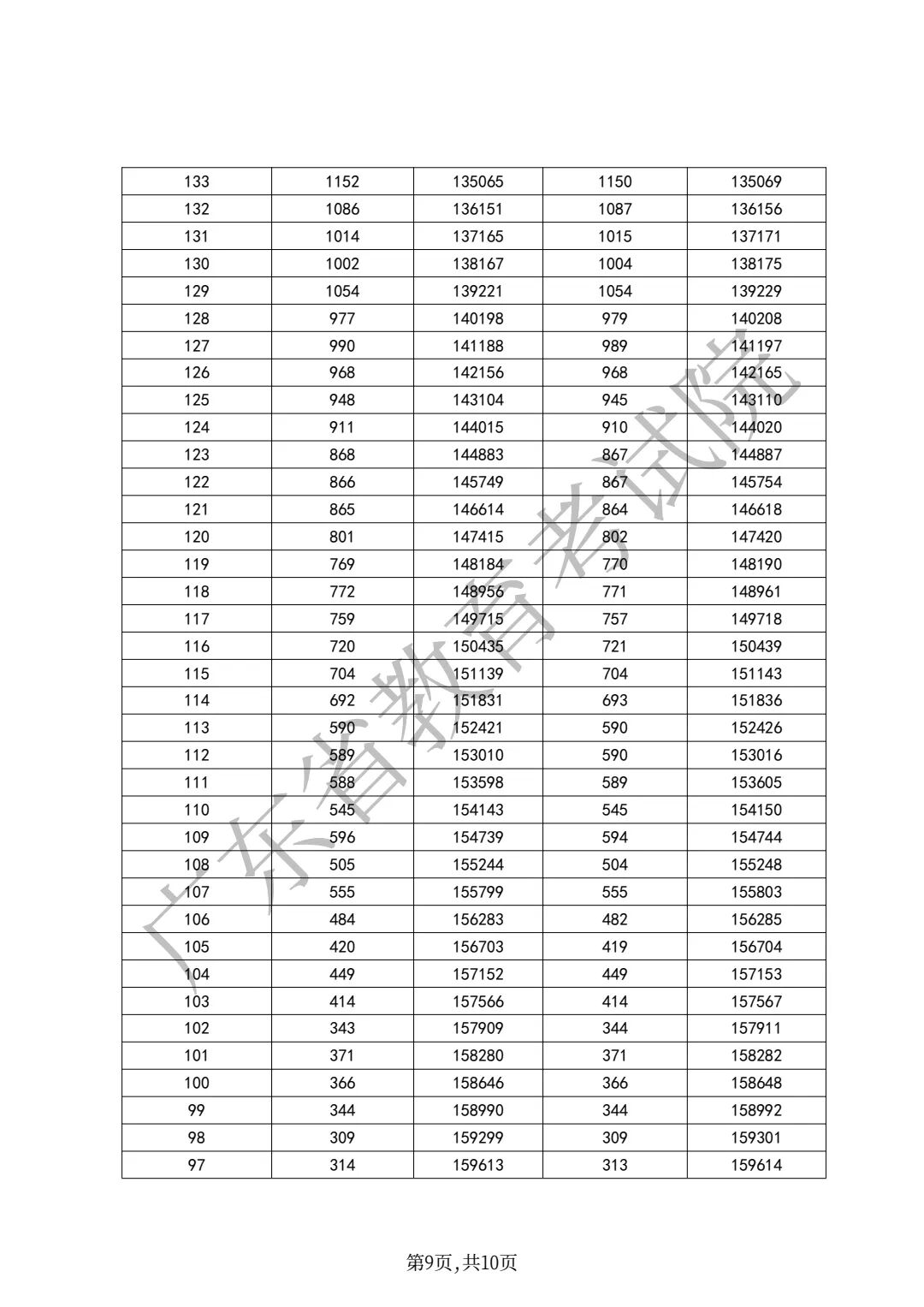
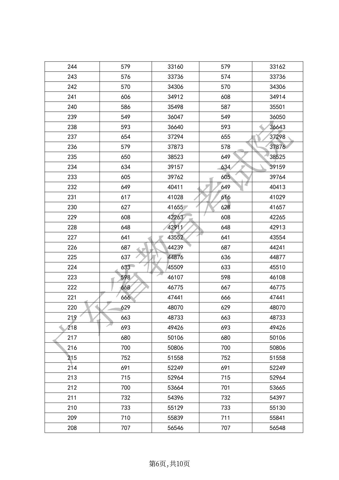
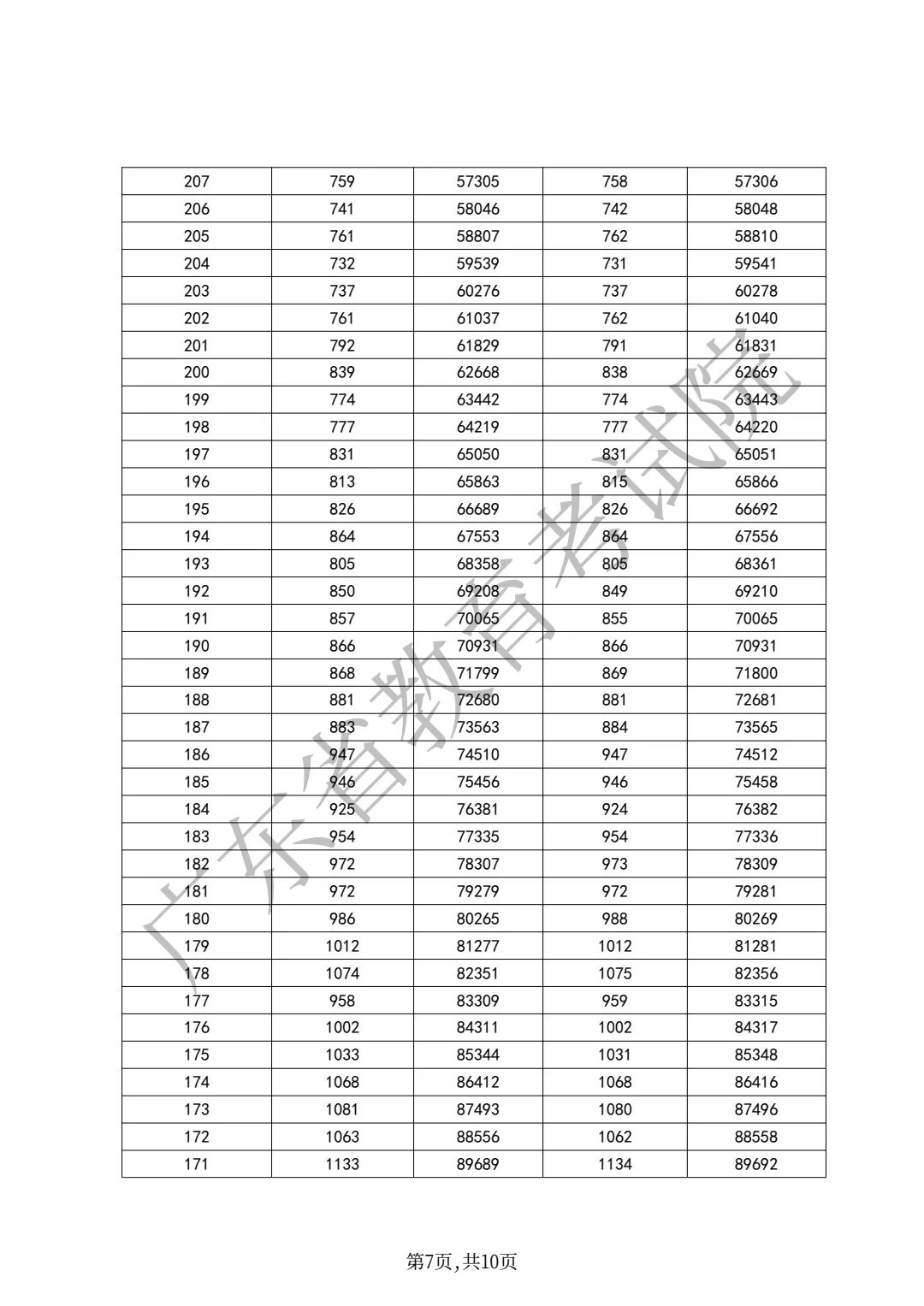
根据最新2023年“3+证书”一分一段表,今年最高分为421分,400分以上的同学今年只有10个,这一分数层次可以说是闭着眼睛挑学校的存在!
而在往下,2023年300分以上9391人,250分以上29780人!
对比2022年400分以上137人,300分以上11559人。今年中高分数段可以说大大减少,而相对应的今年压力就来到了中低分数段的考生身上了!
❖1、人社部门授权颁发的职业技能等级证书从原本的21种增加了证书种类,现囊括了52种职业技能等级证书;

❖2、2022年中高职贯通三二分段可同时填报本专科批次志愿;2023年中高职贯通三二分段中职学段三年级学生,只能填报普通高等学校本科层次的志愿;
❖3、今年招生计划中,广轻和亚视恢复招生,本专科并没有新增学校也没有出现有学校停招3+证书的情况。
看了今年的3+证书情况,想必备考明年3+证书的同学们心里也有点慌了。
无论是明年的新考生还是今年录取不理想复读的考生,请一定要抓紧时间备考,对于未取得证书的考生,也一定要提前取得证书,避免重蹈覆辙。
如果在家里苦于没有可靠的学习视频可看,你可以考虑一下新易学全新推出的网络视频课,名师讲解,1000+课时,全年售后服务,为你的上岸保驾护航。

对于自身约束力较差的同学,不建议你们在家自学。很多考生一般对很多知识点还没理解通透,没有老师在身边解疑答惑,可能在备考上走了弯路。如果家里条件允许,可以考虑参加一些备考机构。
