
自主招生考什么内容?这些公办大学100分就能上?
发布时间:2024-05-10 10:33:49 来源:广东中职生 阅读:
根据广东省2024年高职院校自主招生工作日程安排,自主招生将于明天开始报名,自主招生考什么内容?往年考生考多少分?往下看!
今年有这些自主招生院校:完整版!全部自主招生院校名单公布,这些专业可报!5月9日报名!
报名网址:https://pg.eeagd.edu.cn/gzks/
”文化基础+职业技能“
(面向中职毕业生)
文化基础:综合文化知识考核内容涵盖自然科学和人文科学基本知识、职业道德基本要求、人际交往基本常识、汉语言写作基本能力等技术技能型人才必备的实用性知识要求。
职业技能:招生院校应按专业类别或专业,对专业综合理论、职业技能考核分别命题、分别考核,按照各专业招生计划分别录取。
普通现代学徒制试点
采用“文化素质+职业技能”考核方式,主要侧重于职业技能考核。
由招生院校自主命题、自行组织实施文化素质和职业技能考核,择优录取。
“文化素质”及“职业技能”测试满分值合计100分,其中文化素质考核内容分值为40分,职业技能考核内容分值为60分。
退役军人现代学徒制专项试点
符合条件的退役军人报考退役军人现代学徒制专项试点计划免文化素质考核,由招生院校自主命题、组织实施职业技能考核,择优录取。
招生院校要按招生专业或专业大类组织命题,根据高职自主招生选拔性考试的特点,适当增加试题区分度。职业技能考核满分值100分。
注意:具体的考试内容可以到院校官网进行查询,各校都会公布自主招生的考试大纲,以便考生备考!
各位考生:
普通现代学徒制试点
退役军人现代学徒制专项试点
中职技能大赛获奖免试
各位考生:
各位考生:
我校2023年自主招生(退役军人现代学徒制)考试评卷工作已全部完成,现将成绩予以公示(详见附件),公示期3日。如对本人当次考试成绩有异议,请于5月26日17:30前通过书面形式向我办提出复查成绩的申请(请下载附件填写),地址:河源市东环路河源职业技术学院教学楼A103招生办,电话(兼传真):0762-3800006。
河源职业技术学院招生办
2023年5月23日
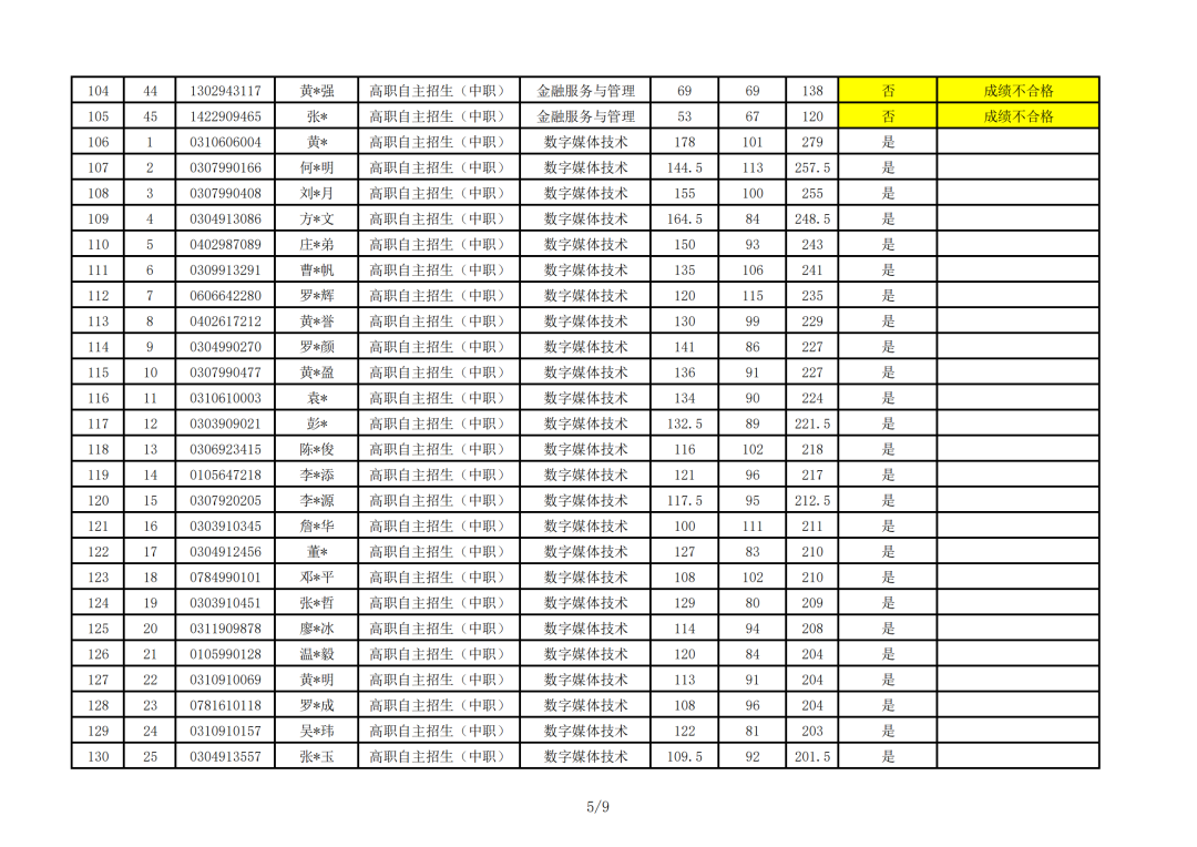
我校2023年高职自主招生考试工作已于5月21日圆满完成,现将考试成绩进行公示,公示期:5月22日至25日17:00,如对成绩有异议,请公示期间致电0760-88222059、88268370进行核查或复议,逾期不予受理。
广州卫生职业技术学院2023年自主招生(现代学徒制试点)考试已结束,现向社会公示考生成绩(见下表)。公示期间,如对公示成绩有异议,可以通过电话或电子邮件方式向广州卫生职业技术学院纪检监察室(审计工作部)反映。
公示时间:2023年5月22日18:00至2023年5月25日18:00
咨询电话:020-36081207
纪检监督电话:020-36080947
电子邮箱:jjjcs@gzws.edu.cn
广州卫生职业技术招生办
2023年5月22日
根据《关于做好2023年高等职业院校自主招生工作的通知》及广州体育职业技术学院招生工作相关规定,现公示我院2023年自主招生(含退役军人现代学徒制专项试点招生、面向高中生自主招生、面向中职生自主招生)考试成绩(见附件),公示期自2023年5月22日14:00至5月25日14:00。如对成绩有异议,可在公示期内(每天上午8:30-12:00,下午14:30-17:30)致电我院招生办(联系电话:020-85603035)申请复查,逾期不再受理。
各考生:
湛江幼儿师范专科学校2023年自主招生普通现代学徒制招生考试已结束,现向社会公示2023年普通现代学徒制试点自主招生考试成绩(详见下图)。公示期内,如对成绩有异议,可以通过电话或电子邮件向我校反映。
公示时间:2023年22日-25日17:00
联系电话:0759-6606023
电子邮箱:xzc@zhjpec.edu.cn
湛江幼儿师范专科学校
学生和招生就业处
2023年5月22日
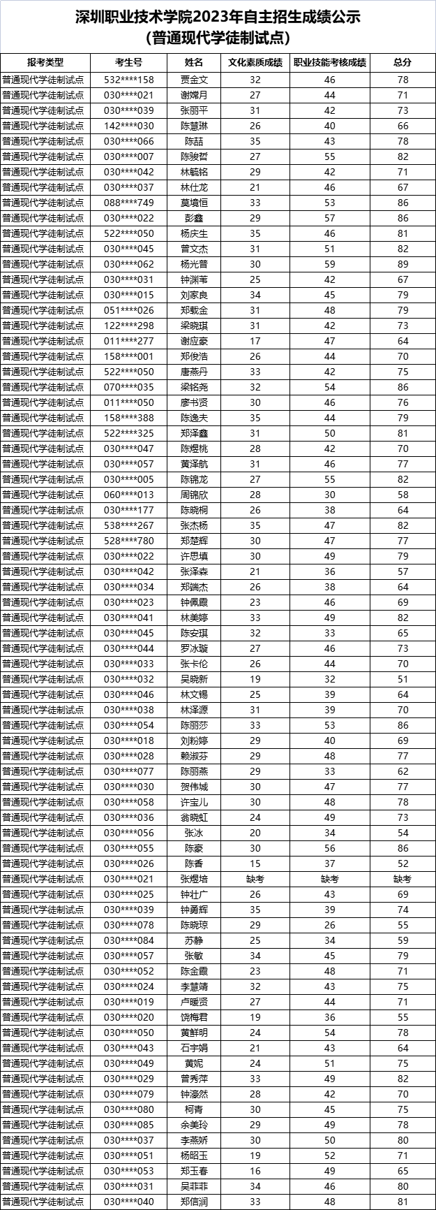
私立华联学院2023年自主招生
现代学徒制试点
考试成绩公示
各位考生:
根据《广东省教育厅 广东省退役军人事务厅关于做好2023年高等职业院校自主招生工作的通知》(粤教考函〔2023〕13号)文件精神,我校2023年自主招生(现代学徒制试点)考试评卷工作已全部完成,现将成绩予以公示,公示时间:自2023年5月22日至2023年5月24日止,共三天。考生详细成绩见附表,如对本人当次考试成绩有异议,请于5月24日17:00前通过电子邮件形式向我办提出复查成绩的申请(请下载附件填写),电子邮箱:xaunlangzx0518@qq.com,电话020-83930318转6211。
私立华联学院招生处
2023年05月22日
附考生详细成绩如下:
各位考生:
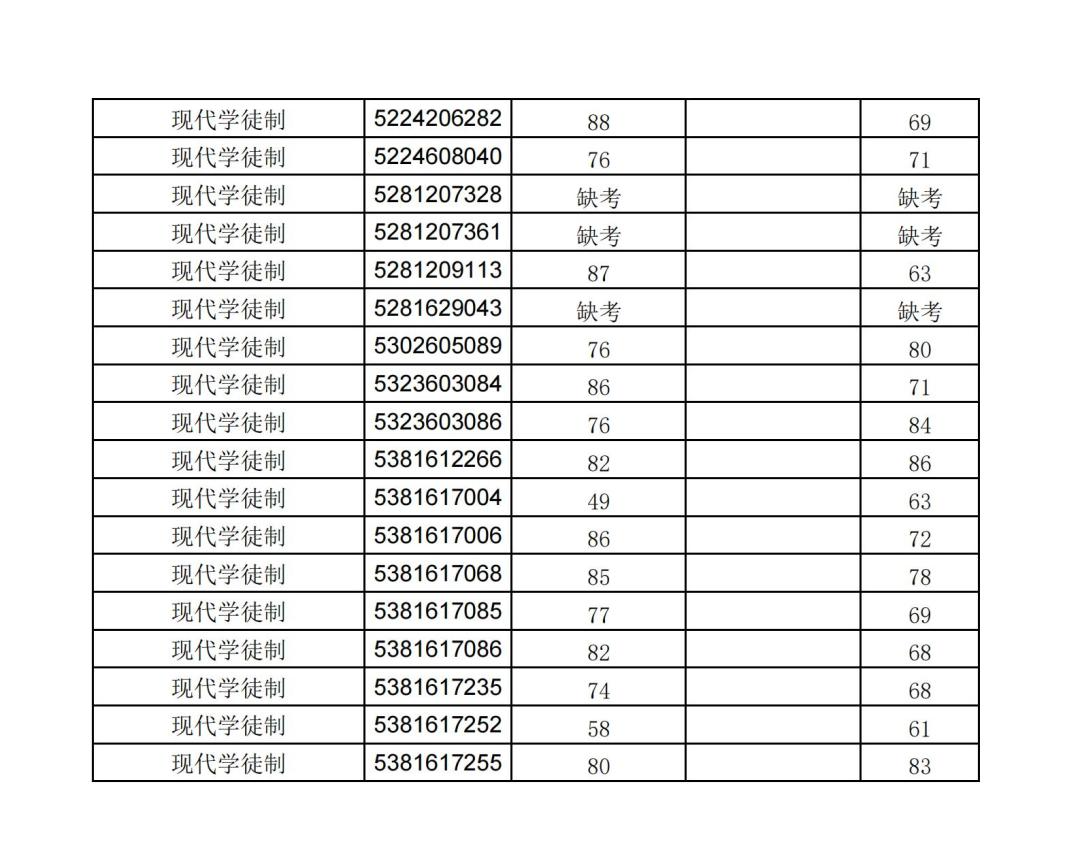
根据省教育厅相关文件要求和我校2023年普通现代学徒制试点招生录取工作安排,我校2023年普通现代学徒制考试工作已全部结束。现将参加考试考生成绩进行公示,公示期为2023年5月23-25日。
附考生详细成绩如下:
如对成绩有异议,可在公示期间(每天上午 8:20-11:30,下午 14:15-17:00)致电我校教务处(联系电话:020-37198548)、招生办(联系电话:020-37198588、38251888、87732281)申请复查,逾期不受理。
根据符合录取条件的各专业考生考核成绩由高分到低分依次录取,在最低录取分数线上录满计划为止(计划数详见招生简章)。总分相同时,“职业技能”考核成绩高者优先录取。
关于公布2023年自主招生(普通现代学徒制)考试成绩的通知
各位考生:
根据省教育厅相关文件要求和我校2023年自主招生(普通现代学徒制)的工作安排,我校自主招生(普通现代学徒制)考试工作已全部结束。
现公布考生考试成绩(具体成绩见附件一),公示期为2023年5月20日-5月22日,注意:任意一科缺考都视为放弃录取资格。
若考生对考试成绩有疑问,可于2023年5月23日12:00前向我校招生办公室提出书面申请复核成绩,查分申请需附上本人身份证正反面复印件(查分申请表和本人身份证正反面复印件请快递到我校招生办公室),材料不齐不予受理。
材料寄送:请选择顺丰快递(快递公司上门收件电话95338)或中国邮政EMS快递(快递公司上门收件电话11185)
邮寄地址:广东省珠海市金湾区广东科学技术职业学院招生办公室(519090)
联系人:肖老师
联系电话:0756-7796211/7796101
广东科学技术职业学院招生办公室
2023年5月20日
请扫描二维码查看附件
附件
2023年自主招生成绩登记表
广东体育职业技术学院2023年自主招生考试已结束,现向社会公示考生成绩(见下表)。考生也可登陆https://zsjybgs.gdtzy.edu.cn/info/1041/2201.htm网址进行查看。
公示期间,如对公示成绩有异议,可以通过电话或电子邮件方式向广东体育职业技术学院纪检监察室(审计工作部)反映。
公示时间:2023年5月21日18:00至2023年5月24日18:00
咨询电话:020-61034014
纪检监督电话:020-62291339
电子邮箱:61034014@163.com
上下滑动,查看详细!
3+证书落榜了?
不妨考虑自主招生,多所公办专科招生!
为帮助大家更加高效地备考
「新易学自主招生辅导班」开始招生
紧贴考纲 全面规划
专业教师 面授培训
▼▼▼