您好,欢迎进入新易学高职高考辅导班网站!这有最新最热的高职院校动态资讯,3+证书高考相关事宜等 24小时咨询热线: 15622269882
高职高考全日制班
基础班,全面提升
高职高考周末制班
冲刺班,集中冲分
高职高考名师班
名师辅导,一对一答疑
传媒高考技能培训
省内唯一挂牌培训机构
艺考文化课
艺考冲刺,致胜高考
辅警技能培训
协议培训,保证上岗
青少年夏令营
感受黄埔军校精神
当前位置:高职高考数学 > 【视频课】高职数学小题狂做集合篇合集,下一知识点-逻辑用语

【视频课】高职数学小题狂做集合篇合集,下一知识点-逻辑用语

发布时间:2021-09-02 09:51:25 来源:小木木呀 阅读:

 

小题在数学高职高考150分中占据100分,且大部分都是基础题,重要程度是无需多说的。
 

为了帮助同学们巩固基础,帮助同学们拿到这100分。大撕兄联合新易学教育推出了本次数学小题狂做系列。

 

本次视频课初步规划讲解考点包括:集合、逻辑用语、解不等式、均值定理、函数定义域、函数奇偶性。在上周我们更新完了集合部分。

 

从明天开始,我们将进入逻辑用语部分。让我们小题狂做起来吧!!!!

 

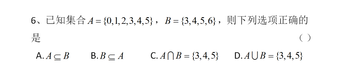
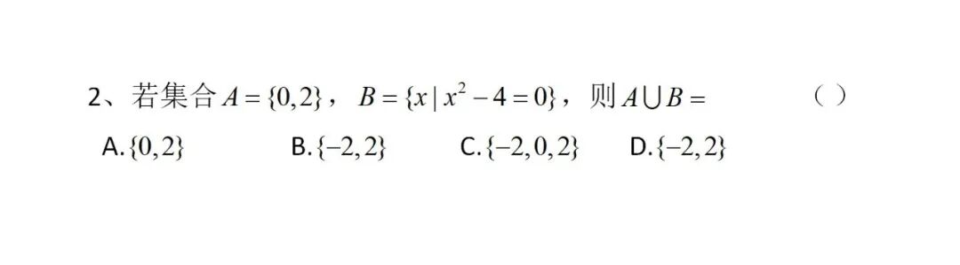
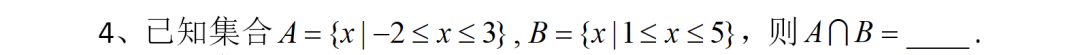
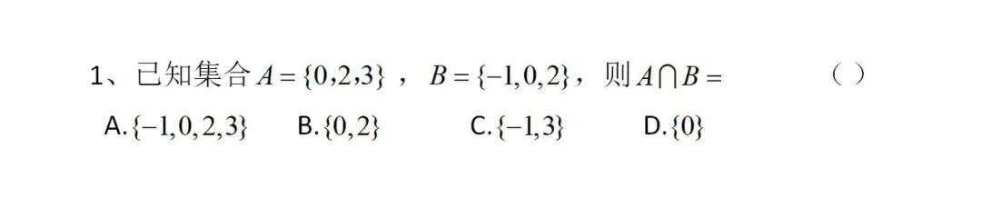
上周集合回顾
 
 

 

 

 

 

 

 

 

 

 

 

 

 

 
 
 
 
 
新易学高职高考招生中
 
全日制模式,0基础教学
定制型授课,因材施教
实力师资力量,直击考点
 
新易学更懂中职生
用最实用的方法,更快提升成绩
学位有限,事不宜迟,要报名的赶紧咯!
 
联系方式 
 
钱老师:156 2226 9882(微信同号)
林老师:155 2133 3095(微信同号)
 

 


标签:

*新易学郑重承诺以上信息完全保密

最新文章